Forest and Grassland Resources Research ›› 2024›› Issue (6): 117-128.doi: 10.13466/j.cnki.lczyyj.2024.06.014
• Technical Application • Previous Articles Next Articles
CHEN Haoquan1(
), WANG Hongrong2, ZHANG Wen2, DONG Chen1,3(
), MIN Zhiqiang1,3
Received:2024-10-21
Revised:2024-12-08
Online:2024-12-28
Published:2025-04-18
CLC Number:
CHEN Haoquan, WANG Hongrong, ZHANG Wen, DONG Chen, MIN Zhiqiang. Construction of Fuel Load Models for Different Tree Vegetation Types in Sichuan Province[J]. Forest and Grassland Resources Research, 2024, (6): 117-128.
Add to citation manager EndNote|Ris|BibTeX
URL: https://www.lyzygl.com.cn/EN/10.13466/j.cnki.lczyyj.2024.06.014
Tab.1
Information on sample plots for different arbor vegetation types
| 植被类型 | 样地数量/(个) | 主要优势树种 |
|---|---|---|
| 寒冷针叶林 | 308 | 云杉(Picea asperata)、柏木(Cupressus funebris)、冷杉(Abies fabri)、落叶松(Larix gmelinii) |
| 寒冷阔叶林 | 59 | 白桦(Betula platyphylla)、红桦(Betula albosinensis)、糙皮桦(Betula utilis) |
| 亚热带针叶林 | 4 043 | 云杉、柏木、冷杉、云南松(Pinus yunnanensis)、马尾松(Pinus massoniana)、华山松(Pinus armandii)、高山松(Pinus densata)、落叶松、柳杉(Cryptomeria japonica var.sinensis Miq.) |
| 亚热带阔叶林 | 2 231 | 栎(Quercus × leana)、桦木属(Betula)、其他硬阔、软阔类、桉(Eucalyptus robusta)、桤木(Alnus cremastogyn)、杨树(Populus spp.)、樟木(Cinnamomum spp.) |
| 亚热带混交林 | 207 | 栎、云南松、其他硬阔、软阔类 |
Tab.2
Fuel load and basic stand characteristics of sample plots
| 植被类型 | 单位面积可燃物 载量/(t/hm2) | 海拔/m | 郁闭度 | 林分密度/ (株/hm2) | 平均树高/ m | 平均胸径/ m |
|---|---|---|---|---|---|---|
| 寒冷针叶林 | 118.27±105.71 | 4 047.50± 61.52 | 0.51±0.19 | 731.35±485.06 | 12.49±7.69 | 0.23±0.14 |
| 寒冷阔叶林 | 129.09± 78.59 | 3 300.31± 280.90 | 0.57±0.19 | 1 370.93±866.71 | 8.84±2.82 | 0.13±0.05 |
| 亚热带针叶林 | 81.89± 41.81 | 2 249.80±1 210.87 | 0.6±0.19 | 1 432.58±963.50 | 12.56±5.72 | 0.19±0.12 |
| 亚热带阔叶林 | 96.16± 6.22 | 1 670.35±1 198.59 | 0.61±0.16 | 1 457.15±841.54 | 12.34±4.73 | 0.15±0.07 |
| 亚热带混交林 | 115.44± 66.60 | 1 703.57± 962.21 | 0.60±0.16 | 1 494.52±793.46 | 12.96±4.76 | 0.18±0.08 |
Tab.5
Correlation coefficients of various factors with fuel load across different vegetation types
| 植被类型 | 海拔 | 坡度 | 坡向 | 坡位 | 郁闭度 | 林分密度 | 平均树高 | 平均胸径 | 龄组 |
|---|---|---|---|---|---|---|---|---|---|
| 寒冷针叶林 | -0.116 | -0.093 | 0.002 | -0.153 | 0.443 | 0.072 | 0.802 | 0.811 | 0.598 |
| 寒冷阔叶林 | -0.710 | -0.287 | 0.160 | -0.338 | 0.447 | 0.527 | 0.748 | 0.707 | 0.521 |
| 亚热带针叶林 | 0.285 | 0.099 | -0.020 | 0.018 | 0.225 | -0.049 | 0.655 | 0.699 | 0.480 |
| 亚热带阔叶林 | 0.284 | 0.088 | 0.016 | 0.044 | 0.280 | 0.170 | 0.405 | 0.588 | 0.405 |
| 亚热带混交林 | 0.312 | -0.012 | -0.063 | -0.068 | 0.223 | 0.166 | 0.278 | 0.467 | 0.321 |
Tab.6
Parameter estimates and evaluation Indices for single-factor fuel load modelswith different tree vegetation types
| 植被类型 | 自变量 | 模型名称 | 参数估计值 | 评价指标 | |||||
|---|---|---|---|---|---|---|---|---|---|
| b0 | b1 | b2 | b3 | R2 | F | P | |||
| 寒冷针叶林 | 郁闭度 | 幂函数 | 229.352 | 1.112 | 0.231 | 73.421 | <0.01 | ||
| 平均树高 | 幂函数 | 8.558 | 1.069 | 0.693 | 550.981 | <0.01 | |||
| 平均胸径 | 二项式 | -23.120 | 771.252 | -232.333 | 0.660 | 235.585 | <0.01 | ||
| 龄组 | 复合函数 | 23.816 | 1.661 | 0.449 | 198.514 | <0.01 | |||
| 寒冷阔叶林 | 海拔 | 线性 | 951.403 | -0.252 | 0.504 | 45.720 | <0.01 | ||
| 坡位 | 线性 | 329.498 | -49.430 | 0.114 | 5.802 | <0.05 | |||
| 郁闭度 | 幂函数 | 209.078 | 1.382 | 0.308 | 20.058 | <0.01 | |||
| 林分密度 | 幂函数 | 0.135 | 0.926 | 0.525 | 49.788 | <0.01 | |||
| 平均树高 | 幂函数 | 1.299 | 1.976 | 0.606 | 69.147 | <0.01 | |||
| 平均胸径 | S方程 | 6.744 | -0.253 | 0.504 | 45.720 | <0.01 | |||
| 龄组 | 幂函数 | 52.574 | 0.942 | 0.336 | 22.728 | <0.01 | |||
| 亚热带针叶林 | 平均树高 | 幂函数 | 13.697 | 0.824 | 0.485 | 3 049.034 | <0.01 | ||
| 平均胸径 | 幂函数 | 452.861 | 0.844 | 0.536 | 3 740.849 | <0.01 | |||
| 龄组 | 幂函数 | 56.215 | 0.689 | 0.310 | 1 454.155 | <0.01 | |||
| 亚热带阔叶林 | 平均树高 | 幂函数 | 11.452 | 0.885 | 0.303 | 775.677 | <0.01 | ||
| 平均胸径 | 幂函数 | 870.538 | 1.115 | 0.459 | 1510.078 | <0.01 | |||
| 龄组 | 幂函数 | 56.347 | 0.707 | 0.250 | 594.978 | <0.01 | |||
| 亚热带混交林 | 海拔 | 三项式 | 127.728 | -0.083 | 6.69×10-5 | -1.12×10-8 | 0.134 | 8.268 | <0.05 |
| 平均胸径 | 二项式 | -23.120 | 771.252 | -232.333 | 0.660 | 235.585 | <0.01 | ||
| 龄组 | 复合函数 | 23.816 | 1.661 | 0.449 | 198.514 | <0.01 | |||
Tab.7
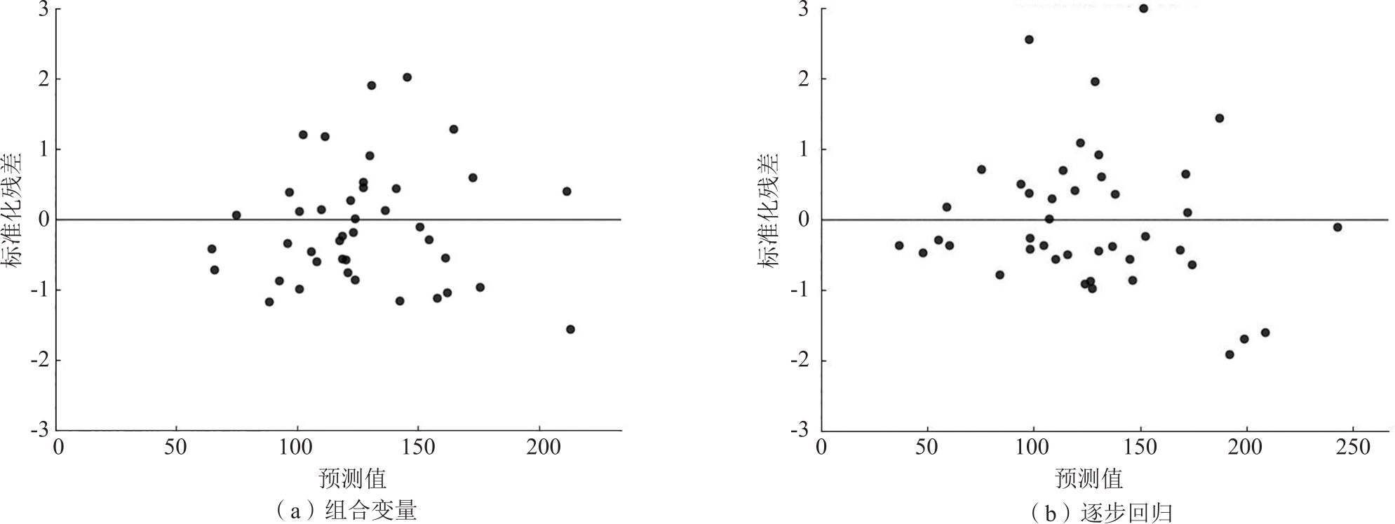
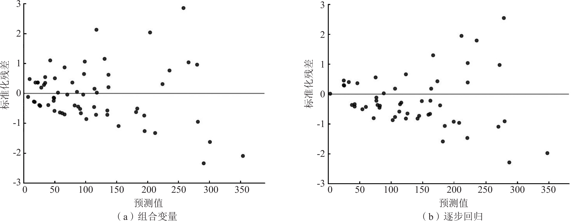
Fuel load equation models based on multiple combined variables
| 植被类型 | 模型 | 拟合指标 | 评价指标 | |||
|---|---|---|---|---|---|---|
| R2 | TRE | MAE | MRE | RMSE | ||
| 寒冷针叶林 | Y=233.530 483.738 | 0.78 | 92.86 | 41.11 | 0.46 | 57.23 |
| 寒冷阔叶林 | Y=2.221-0.076X1+2.228 | 0.59 | 18.56 | 50.45 | 0.38 | 68.03 |
| 亚热带针叶林 | Y=1.162 | 0.53 | 1 120.57 | 35.70 | 0.37 | 55.44 |
| 亚热带阔叶林 | Y=1.194 | 0.35 | 914.67 | 37.92 | 0.64 | 53.11 |
| 亚热带混交林 | Y=357.498 | 0.24 | 70.25 | 46.78 | 0.48 | 60.07 |
Tab.8
Fuel load equation models derived from linear stepwise regression
| 植被类型 | 模型 | 拟合指标 | 评价指标 | |||
|---|---|---|---|---|---|---|
| R2 | TRE | MAE | MRE | RMSE | ||
| 寒冷针叶林 | Y=0.037X6+3.913X7+105.308X5+453.936X8-97.184 | 0.78 | 98.56 | 42.98 | 0.71 | 56.54 |
| 寒冷阔叶林 | Y=938.758X8+0.045X6-0.095X9+257.568 | 0.76 | 15.20 | 32.58 | 0.30 | 40.88 |
| 亚热带针叶林 | Y=2.217X2-2.428X3+0.009X6+3.062X7+0.014X1+ 103.058X5+340.814X8-89.373 | 0.63 | 925.42 | 29.82 | 0.28 | 49.28 |
| 亚热带阔叶林 | Y=1.284X3+5.131X9+1.399X7+72.755X5+0.014X1+ 0.028X6+662.531X8-125.746 | 0.52 | 633.36 | 30.83 | 0.61 | 50.49 |
| 亚热带混交林 | Y=74.586X5-12.988X2+0.021X1+0.023X6+443.972X8-29.023 | 0.34 | 56.60 | 44.43 | 0.38 | 59.71 |
| [1] | 龚亚东, 黎志彬, 汪炼峰, 等. 黄梅县森林防火阻隔带营建现状及对策[J]. 湖北林业科技, 2024, 53(2):79-82. |
| [2] | 黄跃飞, 黄庆军. 基于林业生态安全的森林防火管理措施探究[J]. 农村科学实验, 2024,(11):154-156. |
| [3] | 鲁雅楠, 黄海霞, 马立鹏, 等. 云杉和冷杉林可燃物载量特征及影响因素分析[J/OL]. 甘肃农业大学学报, 2024,1-11.(2024-04-29)[2024-10-10].http://kns.cnki.net/kcms/detail/62.1055.S.20240428.1458.056.html. |
| [4] | 李旭, 张延威, 张运林, 等. 云南顶瓶梗霉对森林地表凋落物的降解效果[J]. 中南林业科技大学学报, 2024, 44(6):120-127. |
| [5] | 宁吉彬, 瓮岳太, 邸雪颖, 等. 大兴安岭沟塘草甸地表可燃物载量快速测定方法[J]. 东北林业大学学报, 2018, 46(5):44-48. |
| [6] | 魏云敏, 鞠琳. 森林可燃物载量研究综述[J]. 森林防火, 2006(4):18-21. |
| [7] |
盛锋雷, 刁军, 王柏昌, 等. 上海市不同林分型乔木层可燃物载量模型研究[J]. 广西林业科学, 2023, 52(3):384-393.
doi: 10.19692/j.issn.1006-1126.20230317 |
| [8] | 王忆文, 索奥丽, 高钰, 等. 四川西昌云南松林地表可燃物载量及影响因素研究[J]. 北京林业大学学报, 2023, 45(10):100-108. |
| [9] | 肖君. 福建马尾松林可燃物载量估算模型构建[J]. 福建林业科技, 2023, 50(4):89-94. |
| [10] | 杨雪清, 孙志超, 柴. 全国森林可燃物载量样地调查与预估方法探讨[J]. 林业资源管理, 2022(6):1-6. |
| [11] | 董奎, 谭本会, 余斌. 联合Sentinel-1和Sentinel-2数据的森林可燃物载量反演研究[J]. 贵州工程应用技术学院学报, 2023, 41(3):58-66. |
| [12] | NGUYEN T H, JONES S, REINKE K J, et al. Estimating fine fuel loads in Eucalypt forests using forest inventory data and amodelling approach[J]. Forest Ecology and Management, 2024,561:121-851. |
| [13] | SYDORENKO S, GUMENIUK V, De Miguel-Díez F, et al. Assessment of the surface forest fuel load in the ukrainian polissia[J]. Fire Ecology, 2024, 20(1):35. |
| [14] | JI Cuicui, YANG Hengcong, LI Xiaosong, et al. Forest wildfire risk assessment of anning river valley in Sichuan Province based on driving factors with multi-source data[J]. Forests, 2024, 15(9):1523. |
| [15] |
王秋华, 王劲, 李晓娜, 等. 森林—城镇交界域火灾研究进展[J]. 南京林业大学学报(自然科学版), 2024, 48(5):1-10.
doi: 10.12302/j.issn.1000-2006.202303047 |
| [16] | WANG San, LI Hongli, NIU Shukui. Empirical research on climate warming risks for forest fires:A case study of grade I forest fire danger zone,Sichuan Province,China[J]. Sustainability, 2021, 13(14):7773. |
| [17] | 王明婷, 贾丹丹, 梁永佳, 等. 森林火灾危险性评估分级初探:以广西防城港市防城区为例[J]. 森林防火, 2024, 42(2):53-59. |
| [18] | 曹杨, 赵晓莉, 苏德斌, 等. 成都西部山地和平原过渡区边界层水平风场区域差异分析[J]. 气象科技, 2024, 52(5):743-752. |
| [19] | 四川省林业和草原局. 四川省第一次森林和草原火灾风险普查实施细则[EB/OL].(2021-04-12)[2024-09-30].https://lcj.sc.gov.cn/scslyt/gsgg/2021/4/12/62d5b22c2cd8419385ef0b460f027b7e.shtml. |
| [20] | 董利虎. 东北林区主要树种及林分类型生物量模型研究[D]. 哈尔滨: 东北林业大学, 2015. |
| [21] | 李兆国, 瓮岳太, 徐建楠, 等. 模拟地表火行为对燃烧剩余物水溶性碳氮的影响[J]. 生态学报, 2022, 42(4):1500-1511. |
| [22] | COHEN J. Statistical Power Analysis for the Behavioral Sciences[M].2nd ed.Hillsdale, NJ: Routledge, 1988. |
| [23] | ZOU H, HASTIE T. Regularization and variable selection via the elastic net[J]. Journal of the Royal Statistical Society:Series B(Statistical Methodology), 2005, 67(2):301-320. |
| [24] | 王秀, 张增江, 郑艳红, 等. 大三叶升麻种子与果实的相关性分析[J]. 特种经济动植物, 2024, 27(10):24-26. |
| [25] | 王雅萍, 徐喜飞, 李家国, 等. 中低分辨率卫星蓝藻水华监测面积校正研究:以GOCI-2为例[J]. 航天返回与遥感, 2024, 45(5):123-133. |
| [26] | 田野, 牛树奎, 陈锋, 等. 火干扰后的油松林地表死可燃物负荷及影响因子[J]. 福建农林大学学报(自然科学版), 2018, 47(6):691-697. |
| [27] | 胡庆, 刘福珍, 段信先. 乔木林可燃物载量空间分布研究:以吉安市为例[J]. 生物灾害科学, 2023, 46(4):529-537. |
| [28] | 张状, 宗树琴, 闫星蓉, 等. 林分和地形因子对崇礼冬奥核心区森林地表可燃物载量的影响[J]. 林业科学, 2022, 58(10):59-66. |
| [29] | 刘欣蓓. 基于高光谱的淮南地区典型农作物叶片叶绿素含量反演研究[D]. 安徽: 安徽理工大学, 2024. |
| [30] | 秦乃花, 陈瑞, 吕常笑, 等. 山东省不同林分地表可燃物载量及其燃烧性研究[J]. 西北林学院学报, 2023, 38(5):176-183. |
| [31] | 陈智卿, 陈柏华, 吕树德. 塞罕坝机械林场针叶林不同林分类型可燃物载量差异探讨[J]. 河北林果研究, 2014, 29(2):138-140. |
| [1] | HUANG Jincheng, LIU Hongsheng, NING Jinkui, OUYANG Xunzhi, ZANG Hao. Study of Adaptability of the Primary Afforestation Species in Chongyi County,Jiangxi Province Based on Random Forest [J]. FOREST RESOURCES WANAGEMENT, 2022, 0(2): 117-125. |
| [2] | XU Bingbing, BIAN Gengzhan, YI Xuan, ZHU Guangyu, QI Zhantao, LV Yong. Study on the Characteristics and Influencing Factors of the Single Tree Stem Form of Cunninghamia lanceolata Plantation in Hunan Province [J]. FOREST RESOURCES WANAGEMENT, 2020, 0(5): 82-88. |
| [3] | CHEN Yiqing, CHEN Zongzhu, CHEN Xiaohua, LEI Jinrui, WU Tingtian, LI Yuanling. A study on Ecological Stoichiometric Characteristics of C,N and P in three kinds of plant leaves and their community litters in Shimeiwan of Hainan island [J]. FOREST RESOURCES WANAGEMENT, 2020, 0(4): 66-73. |
| [4] | GUO Hong, YOU Lei, LEI Xiangdong, XIE Yangsheng, HONG Lingxia. Research on Logical Checking Methods for Plot Data of Multi-period Forest Investigation [J]. FOREST RESOURCES WANAGEMENT, 2019, 0(5): 84-88. |
| [5] | LI Mingjun, DU Mingfeng, YU Lifei. Study on the Relationship between the Stand Volume and Site Factors in Chinese Fir Forest of Middle Age in Guizhou Province [J]. FOREST RESOURCES WANAGEMENT, 2014, 0(5): 58-63. |
| [6] | YANG Zhongxing, HUA Chaolang, YU Changyuan, ZHANG Shaohui, ZHENG Jinxuan, YANG Guowei. Study on the Subalpine Marsh Wetland Vegetation in Yulong County of Yunnan Province [J]. FOREST RESOURCES WANAGEMENT, 2014, 0(1): 131-139. |
| [7] | GUO Tao, YANG Xiaobo, LI Donghai, WU Qingshu, CAO Shiwei, SUN Bo. Analysis of Natural Vegetation Types and Characteristics in Shenzhou Peninsula of Wanning,Hainan Province [J]. FOREST RESOURCES WANAGEMENT, 2008, 0(2): 78-84. |
| Viewed | ||||||
|
Full text |
|
|||||
|
Abstract |
|
|||||