Forest and Grassland Resources Research ›› 2024›› Issue (6): 107-116.doi: 10.13466/j.cnki.lczyyj.2024.06.013
• Scientific Research • Previous Articles Next Articles
CHEN Chunwu1(
), BAI Xiaolong2, CHEN Hongyan3, LI Wangjun2(
)
Received:2024-09-18
Revised:2024-12-08
Online:2024-12-28
Published:2025-04-18
CLC Number:
CHEN Chunwu, BAI Xiaolong, CHEN Hongyan, LI Wangjun. Leaf Functional Traits of Lianas in Maolan Karst Forest[J]. Forest and Grassland Resources Research, 2024, (6): 107-116.
Add to citation manager EndNote|Ris|BibTeX
URL: https://www.lyzygl.com.cn/EN/10.13466/j.cnki.lczyyj.2024.06.013
Tab.1
The information of eight liana species in Maolan karst forest
| 种 | 科 | 分类 |
|---|---|---|
| 菝葜(Smilax china) | 菝葜科(Smilacaceae) | 常绿 |
| 多花勾儿茶(Berchemia floribunda) | 鼠李科(Rhamnaceae) | 常绿 |
| 灰毛鸡血藤子(Callerya cinerea) | 豆科(Leguminosae) | 常绿 |
| 箭羽龙须藤(Bauhinia curtisii) | 豆科(Leguminosae) | 常绿 |
| 金樱子(Rosa laevigata) | 蔷薇科(Rosaceae) | 常绿 |
| 长叶胡颓子(Elaeagnus bockii) | 胡颓子科(Elaeagnaceae) | 常绿 |
| 粗叶悬钩子(Rubus alceifolius) | 蔷薇科(Rosaceae) | 落叶 |
| 三叶地锦(Parthenocissus semicordata) | 葡萄科(Vitaceae) | 落叶 |
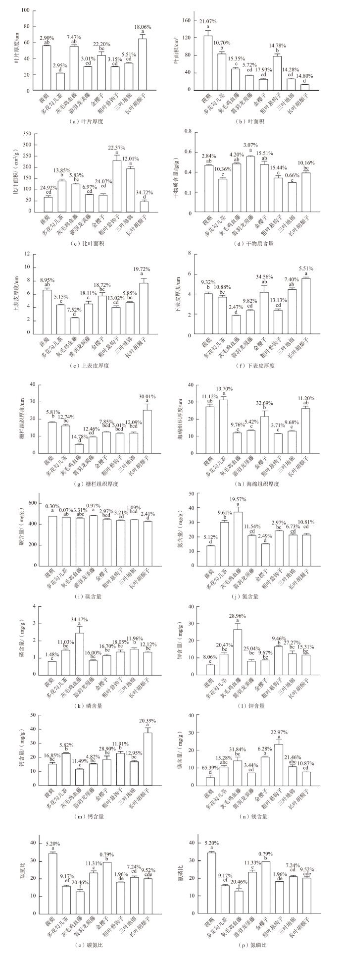
Tab.2
Interspecific variations in leaf functional traits of eight liana species
| 种名 | LT/ μm | LA/ cm2 | SLA/ (cm2/g) | LDMC/ (g/g) | Ada/ μm | Aba/ μm | PT/ μm | ST/ μm | C/ (mg/g) | N/ (mg/g) | P/ (mg/g) | K/ (mg/g) | Ca/ (mg/g) | Mg/ (mg/g) | C/N | N/P |
|---|---|---|---|---|---|---|---|---|---|---|---|---|---|---|---|---|
| 拔葜 | 56.08 | 123.98 | 66.95 | 0.470 | 6.65 | 4.03 | 18.09 | 27.31 | 477.57 | 13.87 | 0.79 | 5.94 | 15.13 | 0.93 | 34.48 | 17.47 |
| 多花勾儿茶 | 21.51 | 83.50 | 139.12 | 0.331 | 4.41 | 3.69 | 16.07 | 31.19 | 468.65 | 29.92 | 1.45 | 12.11 | 22.71 | 2.13 | 15.76 | 20.61 |
| 灰毛鸡血藤 | 55.36 | 48.92 | 125.66 | 0.486 | 2.44 | 1.87 | 5.26 | 11.99 | 459.36 | 36.97 | 2.45 | 26.50 | 11.61 | 2.82 | 12.77 | 15.55 |
| 箭羽龙须藤 | 29.76 | 33.75 | 78.12 | 0.558 | 4.56 | 2.34 | 9.46 | 13.40 | 483.19 | 20.80 | 0.85 | 8.03 | 15.27 | 1.45 | 23.44 | 24.71 |
| 金樱子 | 43.85 | 25.207 | 75.03 | 0.477 | 5.75 | 4.19 | 12.39 | 21.53 | 448.02 | 15.23 | 1.14 | 8.66 | 18.42 | 3.23 | 29.41 | 13.67 |
| 粗叶悬钩子 | 29.50 | 77.833 | 230.97 | 0.341 | 4.02 | 2.37 | 11.69 | 11.43 | 438.42 | 24.16 | 1.36 | 16.43 | 22.84 | 4.66 | 18.15 | 18.20 |
| 三叶地锦 | 34.05 | 25.963 | 194.09 | 0.295 | 4.76 | 4.47 | 11.81 | 13.01 | 445.06 | 21.36 | 1.52 | 12.39 | 16.81 | 2.14 | 20.90 | 14.14 |
| 长叶胡颓子 | 64.77 | 13.347 | 46.69 | 0.395 | 7.69 | 5.59 | 25.20 | 26.29 | 427.39 | 21.38 | 1.33 | 11.62 | 37.35 | 1.58 | 20.13 | 16.10 |
| 平均值 | 41.86 | 54.06 | 119.58 | 0.42 | 5.03 | 3.57 | 13.74 | 19.52 | 455.96 | 22.96 | 1.36 | 12.71 | 20.02 | 2.37 | 21.88 | 17.56 |
| 变异系数/% | 37.10 | 70.05 | 54.89 | 21.99 | 32.43 | 35.70 | 41.03 | 39.63 | 4.30 | 32.84 | 37.77 | 50.62 | 39.86 | 50.12 | 32.61 | 20.85 |
Tab.3
Pearson correlations between different leaf functional traits of liana species
| 性状 | LT | LA | SLA | LDMC | Ada | Aba | PT | ST | C | N | P | K | Ca | Mg | C/N | N/P |
|---|---|---|---|---|---|---|---|---|---|---|---|---|---|---|---|---|
| LT | 1.00 | -0.32 | -0.62 | 0.41 | 0.27 | 0.24 | 0.11 | 0.13 | -0.29 | -0.27 | 0.06 | -0.02 | 0.00 | -0.31 | 0.24 | -0.53 |
| LA | 1.00 | 0.38 | -0.03 | -0.29 | -0.40 | -0.13 | 0.08 | 0.57 | 0.06 | -0.15 | -0.07 | -0.40 | -0.06 | 0.02 | 0.36 | |
| SLA | 1.00 | -0.63 | -0.63 | -0.43 | -0.45 | -0.58 | -0.10 | 0.48 | 0.47 | 0.55 | -0.25 | 0.64 | -0.50 | -0.03 | ||
| LDMC | 1.00 | -0.04 | -0.37 | -0.32 | -0.03 | 0.51 | -0.24 | -0.35 | -0.28 | -0.44 | -0.32 | 0.32 | 0.26 | |||
| Ada | 1.00 | 0.86** | 0.91** | 0.66 | -0.21 | -0.79* | -0.69 | -0.78* | 0.62 | -0.52 | 0.74* | -0.09 | ||||
| Aba | 1.00 | 0.85** | 0.69 | -0.38 | -0.55 | -0.30 | -0.52 | 0.61 | -0.38 | 0.49 | -0.40 | |||||
| PT | 1.00 | 0.76* | -0.28 | -0.52 | -0.50 | -0.58 | 0.79* | -0.43 | 0.47 | 0.00 | ||||||
| ST | 1.00 | 0.10 | -0.35 | -0.35 | -0.53 | 0.46 | -0.51 | 0.35 | 0.02 | |||||||
| C | 1.00 | -0.07 | -0.42 | -0.40 | -0.65 | -0.51 | 0.21 | 0.62 | ||||||||
| N | 1.00 | 0.83* | 0.88** | -0.09 | 0.42 | -0.99** | 0.17 | |||||||||
| P | 1.00 | 0.95** | -0.09 | 0.57 | -0.87** | -0.42 | ||||||||||
| K | 1.00 | -0.09 | 0.66 | -0.91** | -0.23 | |||||||||||
| Ca | 1.00 | 0.05 | -0.01 | -0.01 | ||||||||||||
| Mg | 1.00 | -0.49 | -0.30 | |||||||||||||
| C/N | 1.00 | -0.08 | ||||||||||||||
| N/P | 1.00 |
| [1] | STEVENS G C. Lianas as structural parasites:The Bursera simaruba example[J]. Ecology, 1987, 68(1):77-81. |
| [2] | SCHNITZER S A, BONGERS F. The ecology of lianas and their role in forests[J]. Trends in Ecology & Evolution, 2002, 17(5):223-230. |
| [3] | SCHNITZER S A, MANGAN S A, DALLING J W, et al. Liana abundance,diversity,and distribution on Barro Colorado Island,Panama[J]. Plos One, 2012, 7(12):e52114. |
| [4] | PUTZ F E. Liana biomass and leaf area of a “tierra firme” forest in the Rio Negro Basin,Venezuela[J]. Biotropica, 1983, 15(3):185-189. |
| [5] | HEGARTY E E. Leaf litter production by lianas and trees in a sub-tropical Australian rain forest[J]. Journal of Tropical Ecology, 1991, 7(2):201-214. |
| [6] | ICHIHASHI R, CHIU C W, KOMATSU H, et al. Contribution of lianas to community-level canopy transpiration in a warm-temperate forest[J]. Functional Ecology, 2017, 31(9):1690-1699. |
| [7] | ISCHNITZER S A, MICHEl N L, POWERS J S, et al. Lianas maintain insectivorous bird abundance and diversity in a neotropical forest[J]. Ecology, 2020, 101(12):e03176. |
| [8] | MEUNIER F, VERBEECK H, COWDERY B, et al. Unraveling the relative role of light and water competition between lianas and trees in tropical forests:A vegetation model analysis[J]. Journal of Ecology, 2020, 109(1):519-540. |
| [9] |
SCHNITZER S A. Testing ecological theory with lianas[J]. New Phytologist, 2018, 220(2):366-380.
doi: 10.1111/nph.15431 pmid: 30247750 |
| [10] | VIOLLE C, NAVAS M L, VILE D, et al. Let the concept of trait be functional[J]. Oikos, 2007, 116(5):882-892. |
| [11] | PEREZ-HARGUINDEGUY N, DIAZ S, GARNIER E, et al. New handbook for standardised measurement of plant functional traits worldwide[J]. Australian Journal of Botany, 2013,61:167-234. |
| [12] | LIU Qi, STERCK F J, ZHANG JiaoLin, et al. Traits,strategies,and niches of liana species in a tropical seasonal rainforest[J]. Oecologia, 2021,196:499-514. |
| [13] | 李芳兰, 包维楷. 植物叶片形态解剖结构对环境变化的响应与适应[J]. 植物学通报, 2005,22:118-127. |
| [14] | KOERSELMAN W, MEULEMAN A F M. The vegetation N∶P ratio:A new tool to detect the nature of nutrient limitation[J]. Journal of Applied Ecology, 1996, 33(6):1441-1450. |
| [15] | 王梦洁, 容丽, 李婷婷, 等. 黔中喀斯特9种木质藤本叶功能性状研究[J]. 热带亚热带植物学报, 2021, 29(5):455-464. |
| [16] | BAI Xiaolong, YANG Da, SHER J, et al. Divergences in stem and leaf traits between lianas and co-existing trees in a subtropical montane forest[J]. Journal of Plant Ecology, 2023,17:rtad037. |
| [17] | 王琪, 容丽, 王梦洁, 等. 黔中木本植物叶功能性状对退化喀斯特土壤特性的响应[J]. 地球与环境, 2022, 5(5):639-647. |
| [18] | 吴迪, 龙秀琴, 张建利, 等. 喀斯特峰丛洼地石漠化区4种藤本植物的光合日变化特征[J]. 江苏农业科学, 2015, 43(8):254-256. |
| [19] | 熊玲, 龙翠玲, 梁盛, 等. 喀斯特森林木本植物叶片功能性状对土壤特性的响应[J]. 热带亚热带植物学报, 2024, 32(3):310-318. |
| [20] | 罗丝琼, 张广奇, 郭其强, 等. 茂兰喀斯特常绿落叶阔叶混交林林窗下木本植物更新组成[J]. 生态学杂志, 2020, 39(7):2131-2139. |
| [21] | 姜飘, 朱锦心, 翁殊斐, 等. 藤本植物表型可塑性研究综述[J]. 世界林业研究, 2023, 36(6):14-19. |
| [22] | 翟偲涵, 王平, 盛连喜. 竞争条件下植物功能性状的表型可塑性研究进展[J]. 北华大学学报(自然科学版), 2017, 18(4):538-546. |
| [23] | PATTISON R R, GOLDSTEIN G, ARES A. Growth,biomass allocation and photosynthesis of invasive and native Hawaiian rainforest species[J]. Oecologia, 1998,117:449-459. |
| [24] | FUNK J L. Differences in plasticity between invasive and native plants from a low resource environment[J]. Journal of Ecology, 2008, 96(6):1162-1173. |
| [25] |
钟巧连, 刘立斌, 许鑫, 等. 黔中喀斯特木本植物功能性状变异及其适应策略[J]. 植物生态学报, 2018, 42(5):562-572.
doi: 10.17521/cjpe.2017.0270 |
| [26] | FEITOSA T S, DE CARVALHO E C, BARRETO R W, et al. Use of support influences height and above-ground allometry but not biomass allocation to different aerial organs of an invasive vine[J]. Trees, 2023, 37(2):373-383. |
| [27] | 吴陶红, 龙翠玲, 熊玲, 等. 喀斯特森林不同生长型植物叶片功能性状变异及其适应特征[J]. 应用与环境生物学报, 2023, 29(5):1043-1049. |
| [28] | 刘金环, 曾德慧, DON K L. 科尔沁沙地东南部地区主要植物叶片性状及其相互关系[J]. 生态学杂志, 2006, 25(8):921-925. |
| [29] | MCDOWELL N, POCKMAN W T, ALLEN C D, et al. Mechanisms of plant survival and mortality during drought:why do some plants survive while others succumb to drought[J]. New Phytologist, 2008, 178(4):719-739. |
| [30] | 董雪, 海鹭, 韩春霞, 等. 干旱区降雨梯度对沙冬青根-茎-叶生态化学计量特征的影响[J]. 林业科学研究, 2023, 36(5):60-71. |
| [31] | POORTER H, PEPIN S, RIJKERS T, et al. Construction costs,chemical composition and payback time of high-and low-irradiance leaves[J]. Journal of Experimental Botany, 2006, 57(2):355-371. |
| [32] | ELSER J J, FAGAN W F, DENNO R F, et al. Nutritional constraints in terrestrial and freshwater food webs[J]. Nature, 2000, 408(6812):578-580. |
| [33] | LAMBERS H, CHAPIN F S, PONS T L. Plant physiological ecology[M]. New York: Springer, 1998. |
| [34] | REICH P B, OLEKSYN J. Global patterns of plant leaf N and P in relation to temperature and latitude[J]. Proceedings of the National Academy of Sciences, 2004, 101(30):11001-11006. |
| [35] | AERTS R, CHAPIN F S. The mineral nutrition of wild plants revisited: A reevaluation of processes and patterns[J]. Advances in Ecological Research, 1999,30:1-67. |
| [36] | Kirkby E A. Marschner's mineral nutrition of plants[M]. New York: Academic Press, 2023. |
| [37] | 杨勇, 许鑫, 徐玥, 等. 黔北优势植物对槽谷型喀斯特生境的适应策略:基于功能性状与生态化学计量相关联的证据[J]. 地球与环境, 2020, 48(4):413-423. |
| [38] | 周汀. 小生境下典型喀斯特森林植物化学计量特征及其适应机制[D]. 贵州: 贵州大学, 2022. |
| [39] | WESTOBY M, FALSTER D S, MOLES A T, et al. Plant ecological strategies:Some leading dimensions of variation between species[J]. Annual Review of Ecology & Systematics, 2002, 33(1):125-159. |
| [40] | 周卫, 汪洪. 植物钙吸收、转运及代谢的生理和分子机制[J]. 植物学报, 2007, 24(6):762-778. |
| [1] | SHANG Fuqiang, MA Xiaoyu, GAO yuan, MA Zhiqiang. Evaluation and Selection of Growth Variation in Provenances Character of 35-year-old Pinus koraiensis [J]. Forest and Grassland Resources Research, 2024, 0(6): 91-97. |
| [2] | HUA Guoli, HE Yingnian, PU Lei, MU Dejin, TANG Junrong, XU Yulan, CHEN Shi, CHEN Lin. Response of Ecologically Stoichiometric Characteristics of Pinus yunnanensis to Elevation Adaptability in Western Yunnan [J]. Forest and Grassland Resources Research, 2024, 0(3): 33-41. |
| [3] | LI Zhongmu, CHE Fengxian, GAO Chengjie, LI Jin, WANG Lu, CUI Kai. Phenotypic Variation and Early Selection of Half-sib Families of Pinus yunnanensis [J]. Forest and Grassland Resources Research, 2024, 0(1): 102-110. |
| [4] | DING Qike, DOU Hao, ZHANG Ershan, HU Chuanwei, HE Jing. Carbon Content of Landscaping Tree Species in Zhengzhou City [J]. Forest and Grassland Resources Research, 2024, 0(1): 95-101. |
| [5] | LI Li, WU Yuehong, XIAO Zexin, JI Yanling, LIN Wenhuan, ZHU Xiaowu, FAN Zhenzhen. Characterization of Soil Ecological Stoichiometry in Plantation Forests of Different Stand Ages of Sonneratia apetala [J]. Forest and Grassland Resources Research, 2023, 0(6): 113-119. |
| [6] | WANG Cuiping, HAN Xiaohong, WANG Haochen, YOU Jiaqi. Responses of Vegetation in Mu Us Sandy Land to Climate Change from 1982 to 2020 [J]. FOREST RESOURCES WANAGEMENT, 2023, 0(3): 80-89. |
| [7] | LI Xiaoyang, MA Xiuzhi, YANG Yupei, LI Changsheng. Diurnal Variation of Soil N2O Emission Fluxes and Its Influencing Factors in Pinus tabulaeformis Plantation [J]. FOREST RESOURCES WANAGEMENT, 2023, 0(2): 88-95. |
| [8] | HE Bin, LI Qing, LI Wangjun, ZOU Shun, BAI Xiaolong, FENG Tu. Soil Nutrient and C:N:P Stoichiometry of Different Aged Pinus armandii Plantations [J]. FOREST RESOURCES WANAGEMENT, 2023, 0(1): 71-79. |
| [9] | OU Zeyu, PENG Zhen, WANG Yuanyuan, ZHANG Xidan, RAO Feng, XIE Peilin, WAN Pan. Effects of Management Methods on Soil Organic Carbon, Nitrogen and Phosphorus in Oak Secondary Forests [J]. FOREST RESOURCES WANAGEMENT, 2022, 0(3): 96-103. |
| [10] | ZHANG Jiaqi, ZHENG Dongmei, ZHU Kai. Effects of Forestry Drought Stress on Leaf Structure Traits and Leaf Pigment Content of Agriophyllum squarrosum [J]. FOREST RESOURCES WANAGEMENT, 2022, 0(2): 157-163. |
| [11] | GAO Qianqian, CHEN Can, LIU Hena, LUO Qian, LI Xia, LIN Yongming, WU Chengzhen. Spatiotemporal Variations and Topographic Differentiation of Fractional Vegetation Cover in Minjiang River [J]. FOREST RESOURCES WANAGEMENT, 2022, 0(2): 91-99. |
| [12] | CHEN Xiaohua, CHEN Zongzhu, LEI Jinrui, WU Tingtian, LI Yuanling. Soil Microbial Biomass Carbon,Nitrogen and Nutrient Characteristics of Different Plant Communities in Dongzhai Port [J]. FOREST RESOURCES WANAGEMENT, 2021, 0(6): 97-104. |
| [13] | XIE Han, WAN Yifeng, CUI Hongna, ZHENG Yan, JIA Yanlong. Eco-stoichiometric Characteristics-of N and P Elemeuts of Main Herbaceous Plants in Larix Principis-rupprechtii Mayr.Plantation —A Case Study in the North of Yanshan Mountain [J]. FOREST RESOURCES WANAGEMENT, 2020, 0(4): 58-65. |
| [14] | CHEN Yiqing, CHEN Zongzhu, CHEN Xiaohua, LEI Jinrui, WU Tingtian, LI Yuanling. A study on Ecological Stoichiometric Characteristics of C,N and P in three kinds of plant leaves and their community litters in Shimeiwan of Hainan island [J]. FOREST RESOURCES WANAGEMENT, 2020, 0(4): 66-73. |
| [15] | LIU Xuemei, ZENG Weisheng. A Review for Calorific Values of Plants [J]. FOREST RESOURCES WANAGEMENT, 2019, 0(5): 104-112. |
| Viewed | ||||||
|
Full text |
|
|||||
|
Abstract |
|
|||||