欢迎访问林草资源研究

林草资源研究 ›› 2024›› Issue (3): 88-95.doi: 10.13466/j.cnki.lczyyj.2024.03.011

• 技术应用 • 上一篇    下一篇

大兴安岭不同林龄兴安落叶松生物量及固碳释氧功能

刘林甫1,2(), 洪光宇3, 弥宏卓1, 王志强1, 徐荣会1, 胡永宁3   

  1. 1.内蒙古自治区林业和草原监测规划院,呼和浩特 010018
    2.内蒙古农业大学,呼和浩特 010018
    3.内蒙古自治区林业科学研究院,呼和浩特 010018
  • 收稿日期:2024-03-18 修回日期:2024-06-05 出版日期:2024-06-28 发布日期:2024-12-24
  • 作者简介:刘林甫,博士研究生,主要研究方向为水土保持与土地利用。Email:2323302544@qq.com
  • 基金资助:
    内蒙古自治区林业科学研究院监测项目“大兴安岭及周边地区已垦林地草原退耕还林还草试点”(107006003);内蒙古自治区林业和草原监测规划院监测项目“大兴安岭及周边地区已垦林地草原退耕还林还草试点项目固碳释氧功能潜力研究”(ZB2023020801)

Biomass and Carbon Fixation and Oxygen Release Function of Larix gmelinii at Different Ages in Daxing 'anling

LIU Linfu1,2(), HONG Guangyu3, MI Hongzhuo1, WANG Zhiqiang1, XU Ronghui1, HU Yongning3   

  1. 1. Forestry and Grassland Monitoring Planning Institute of Inner Mongolia Autonomous Region,Hohhot 010018,China
    2. Inner Mongolia Agricultural University,Hohhot 010018,China
    3. Inner Mongolia Academy of Forestry,Hohhot 010018,China
  • Received:2024-03-18 Revised:2024-06-05 Online:2024-06-28 Published:2024-12-24

摘要:

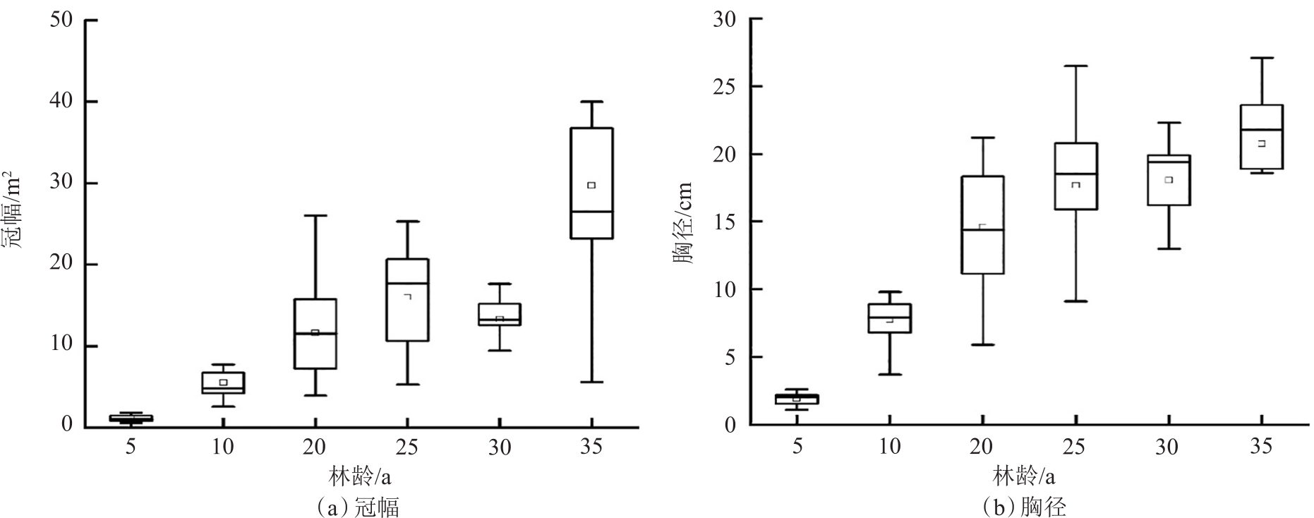
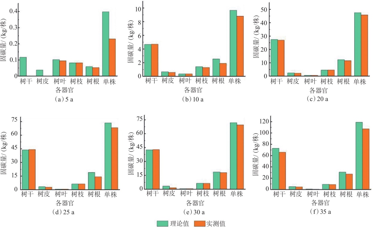
兴安落叶松是大兴安岭的主要造林树种,探讨其不同林龄生物量及固碳释氧功能,以期为该地区兴安落叶松合理经营和科学管理提供依据。通过实地调查和室内试验,结合《森林生态系统服务功能评估规范》(GB/T 38582—2020)要求,分析不同林龄兴安落叶松的生物量及固碳释氧功能。结果表明:1)兴安落叶松的林分结构会随林龄的增长发生变化,在林龄5~35 a时,冠幅由1.11 m2升至32.71 m2,年均增长率为1.05 m2/a;胸径为1.11~27.10 cm,增长速率呈现先快后缓的变化趋势;2)在林龄5~35 a时,单株生物量为0.25~411.73 kg/株,树干生物量始终在兴安落叶松单株生物量中占主导地位,占地上生物量的绝对优势;3)兴安落叶松固碳释氧功能随林龄增长呈现上升趋势,林龄为35 a时,年均固碳量为119.02 kg,释氧量为318.64 kg。兴安落叶松生物量及固碳释氧功能随着林龄增长,均表现出显著的积极变化,持续优化和保护兴安落叶松对于改善生态问题具有巨大潜力。

关键词: 兴安落叶松, 林龄, 生物量, 固碳释氧, 大兴安岭

Abstract:

Larix gmelinii is the main afforestation tree species in Daxing 'anling.It examines the biomass,carbon fixation and oxygen release functions across different forest ages to provide a foundation for the rational and scientific management of Larix gmelinii in this area.The biomass and carbon fixation and oxygen release functions of different forest ages of Larix gmelinii were analyzed by field investigation and laboratory test.The results showed that:1)The stand structure of Larix gmelinii changed with the increase of forest age.Between ages 5 and 35 years,crown width increased from 1.11 m2 to 32.71 m2,with an average annual growth rate of 1.05 m2 per year.The diameter at breast height ranged from 1.11 to 27.1 cm,and the growth rate showed a trend of first being fast and then slow.2)The age from 5 years to 35 years,the biomass per plant was 0.25 to 411.73 kg per plant.The trunk consistently accounted for the dominant portion of a single plant’s biomass,holding an absolute advantage in aboveground biomass.3)The carbon fixation and oxygen release functions of Larix gmelinii showed an upward trend with the increase of forest age.When the forest age was 35 years,the average annual carbon fixation was 119.02 kg,and the oxygen release was 318.64 kg.The biomass and carbon fixation and oxygen release functions of Larix gmelinii showed significant positive changes with the increase of forest age.Therefore,the continuous optimization and protection of Larix gmelinii have substantial potential for improving ecological conditions.

Key words: Larix gmelinii, forest age, biomass, carbon fixation and oxygen release, Daxing'anling

中图分类号: