欢迎访问林草资源研究

Forest and Grassland Resources Research ›› 2024›› Issue (5): 86-95.doi: 10.13466/j.cnki.lczyyj.2024.05.010

• Scientific Research • Previous Articles     Next Articles

The Impact of Natural Recovery of Diseased and Pest-infected Treescutting on the Niche and Diversity of Secondary Pinus massoniana Forests

WU Jilai1(), MAO Yangjun2,3,4, CHEN Yangen1, HU Ao2,3,4, WU Yanping2,3,4, SHI Yan5, WANG Yixiang2,3,4()   

  1. 1. Forestry Bureau in Lin'an District,Hangzhou 311300,China
    2. State Key Laboratory of Subtropical Silviculture,Zhejiang A&F University,Hangzhou 311300,China
    3. Key Laboratory of Carbon Cycling in Forest Ecosystems and Carbon Sequestration in Zhejiang Province,Zhejiang A&F University,Hangzhou 311300,China
    4. College of Environment and Resource,Zhejiang A&F University,Hangzhou 311300,China
    5. College of Landscape Architecture,Zhejiang A&F University,Hangzhou 311300,China
  • Received:2024-08-30 Revised:2024-09-30 Online:2024-10-28 Published:2025-04-18

Abstract:

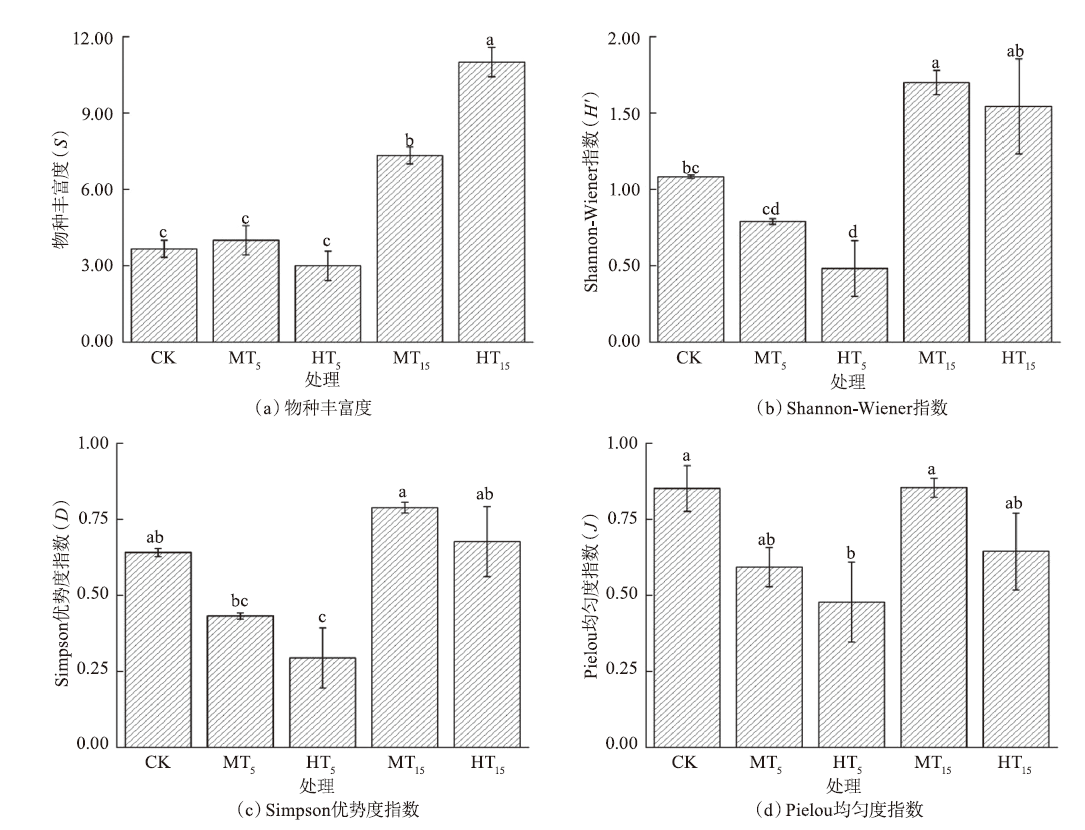
This study investigates the biodiversity and niche dynamics in Pinus massoniana forests(PMF)following thinning of trees affected by pine wilt disease to facilitate natural restoration,we aim to provide a scientific basis for the management of PMF stands after sanitation cutting.Employing a PMF stand unaffected by pine wilt disease as the control(CK),the forest stands with moderate cutting and restoration for 5 years(MT5),moderate cutting and restoration for 15 years(MT15),heavy cutting and restoration for 5 years(HT5),and heavy cutting and restoration for 15 years(HT15)were selected respectively assess how varying degrees of thinning and periods of natural restoration influence species composition,niche width,niche overlap,and biodiversity of PMF.1)Compared with CK,the important value of P.massoniana,niche width,and the average niche overlap between P.massoniana and other tree species in the forest stands after the cutting of epidemic wood generally decreased.2)Under the same natural restoration duration,the average important value of P.massoniana,niche width,and the average niche overlap between P.massoniana and other tree species decreased with increasing cutting intensity,and the important value of broad-leaved trees increased with increasing cutting intensity.3)Under the same cutting intensity,the average important value of P.massoniana,niche width,and the average niche overlap between P.massoniana and other tree species decreased with increasing natural restoration years,and the important value of broad-leaved trees increased with increasing natural restoration years.4)When the natural restoration lasted for 15 years,the species richness of the secondary forest of P.massoniana after heavy cutting was significantly higher than that after moderate cutting(P<0.05),while the difference was not significant when the natural restoration lasted for 5 years(P>0.05).5)Under the same cutting intensity,the species richness,Shannon-Wiener index,and Simpson index of the secondary forest of P.massoniana with natural restoration for 15 years were significantly higher than those with natural restoration for 5 years(P<0.05).Following thinning of P.massoniana,extended periods of natural restoration correlate with reduced significance and niche breadth of P.massoniana,alongside an increase in the significance of broad-leaved species.Additionally,the niche overlap between P.massoniana and other tree species decreases,resulting in higher species diversity.Intense thinning accelerates these ecological transitions more effectively than moderate thinning.

Key words: Pinus massoniana, thinning, natural restoration, biodiversity, niche, pine wilt disease

CLC Number: