Forest and Grassland Resources Research ›› 2024›› Issue (5): 96-105.doi: 10.13466/j.cnki.lczyyj.2024.05.011
• Scientific Research • Previous Articles Next Articles
Received:2024-08-30
Revised:2024-10-10
Online:2024-10-28
Published:2025-04-18
CLC Number:
HAO Siran, MENG Zhongju. Impact of Different Vegetation Restoration Types on Soil in the Wind-sand Inflow Section of the Hobq Desert[J]. Forest and Grassland Resources Research, 2024, (5): 96-105.
Add to citation manager EndNote|Ris|BibTeX
URL: https://www.lyzygl.com.cn/EN/10.13466/j.cnki.lczyyj.2024.05.011
Tab.1
Basics of four types of vegetation restoration
| 植被类型 | 林带结构 | 树种 | 株行距/(m×m) | 树高/m | 冠幅/(m×m) | 植被盖度/% | |
|---|---|---|---|---|---|---|---|
| HB | 两行一带 | 花棒Corethrodendron scoparium | 1.0×2.0 | 3.00 | 2.0×1.5 | >40 | |
| HYNZ | 三行一带 | 旱柳Salix matsudana | 5.0×5.0 | 3.25 | 2.0×2.5 | >70 | |
| 小叶杨Populus simonii | 5.0×5.0 | 2.80 | 0.8×0.8 | ||||
| 柠条锦鸡儿Caragana korshinskii | 1.0×2.5 | 0.70 | 1.0×1.0 | ||||
| 沙枣Elaeagnus angustifolia | 8.0×4.0 | 5.00 | 3.3×3.6 | ||||
| YS | 一行一带 | 小叶杨Populus simonii | 2.0×4.0 | 2.60 | 1.2×1.1 | >70 | |
| 樟子松Pinus sylvestris L.var.mongolica | 2.0×2.0 | 2.70 | 1.2×1.6 | ||||
| YL | 两行一带 | 小叶杨Populus simonii | 3.0×3.5 | 7.00 | 1.8×1.8 | >40 | |
| 沙柳Salix psammophila | 2.0×6.0 | 2.00 | 1.9×1.2 | ||||
Tab.2
Mechanical composition of four different vegetation restoration types and their controls
| 样地 | 土壤深度/cm | 各粒级质量百分比/% | ||||||
|---|---|---|---|---|---|---|---|---|
| 粗砂 | 中砂 | 细砂 | 极细砂 | 粉砂 | ||||
| HB | 0 | ~ | <5 | 0.00±0.00 | 1.20±0.02 | 81.75±0.05 | 16.14±0.02 | 0.91±0.02 |
| 5 | ~ | <30 | 0.00±0.00 | 0.27±0.04 | 78.01±0.15 | 21.47±0.10 | 0.25±0.03 | |
| 30 | ~ | 60 | 0.00±0.00 | 1.13±0.06 | 79.87±0.24 | 17.83±0.25 | 1.17±0.07 | |
| CK1 | 0 | ~ | <5 | 0.06±0.01 | 1.27±0.06 | 80.50±0.25 | 16.42±0.26 | 1.75±0.06 |
| 5 | ~ | <30 | 0.04±0.01 | 0.53±0.02 | 72.37±0.15 | 25.49±0.18 | 1.57±0.05 | |
| 30 | ~ | 60 | 0.03±0.01 | 7.5±0.53 | 78.17±0.28 | 13.62±0.61 | 0.68±0.05 | |
| HYNZ | 0 | ~ | <5 | 0.13±0.06 | 16.37±2.17 | 68.12±2.90 | 11.55±2.40 | 3.83±0.31 |
| 5 | ~ | <30 | 0.16±0.03 | 16.06±0.72 | 76.18±0.44 | 6.86±0.37 | 0.74±0.08 | |
| 30 | ~ | 60 | 0.31±0.07 | 16.36±0.75 | 75.56±0.27 | 7.08±0.48 | 0.69±0.15 | |
| CK2 | 0 | ~ | <5 | 0.00±0.00 | 7.89±0.70 | 84.55±0.13 | 7.44±0.55 | 0.12±0.02 |
| 5 | ~ | <30 | 0.03±0.02 | 27.28±1.63 | 69.04±2.46 | 3.60±0.86 | 0.05±0.04 | |
| 30 | ~ | 60 | 0.02±0.01 | 8.67±0.26 | 87.47±0.44 | 3.80±0.61 | 0.04±0.01 | |
| YS | 0 | ~ | <5 | 0.00±0.00 | 6.79±0.24 | 82.09±1.25 | 10.41±1.03 | 0.71±0.09 |
| 5 | ~ | <30 | 0.00±0.00 | 5.54±0.29 | 84.21±2.67 | 9.83±2.99 | 0.42±0.10 | |
| 30 | ~ | 60 | 0.00±0.00 | 5.80±0.14 | 82.20±1.58 | 11.81±1.41 | 0.19±0.06 | |
| CK3 | 0 | ~ | <5 | 0.00±0.00 | 30.41±0.93 | 59.68±0.76 | 9.09±0.13 | 0.82±0.10 |
| 5 | ~ | <30 | 0.00±0.00 | 20.87±0.81 | 69.37±0.78 | 9.31±0.08 | 0.45±0.06 | |
| 30 | ~ | 60 | 0.00±0.00 | 34.98±1.75 | 57.06±2.04 | 7.22±0.08 | 0.74±0.21 | |
| YL | 0 | ~ | <5 | 0.00±0.00 | 7.25±0.44 | 79.02±0.28 | 13.15±0.34 | 0.58±0.08 |
| 5 | ~ | <30 | 0.00±0.00 | 7.95±0.86 | 79.11±0.96 | 12.12±0.24 | 0.82±0.12 | |
| 30 | ~ | 60 | 0.00±0.00 | 4.64±0.56 | 78.11±1.11 | 15.52±0.69 | 1.73±0.22 | |
| CK4 | 0 | ~ | <5 | 0.00±0.00 | 9.90±4.48 | 82.43±4.15 | 7.55±0.45 | 0.12±0.03 |
| 5 | ~ | <30 | 0.01±0.02 | 26.87±1.19 | 69.46±1.46 | 3.64±0.30 | 0.02±0.02 | |
| 30 | ~ | 60 | 0.00±0.00 | 8.80±0.47 | 87.04±0.70 | 4.12±0.28 | 0.04±0.02 | |
Tab.3
Paired T-test values for the effects of four types of vegetation restoration on soil mechanical composition
| 配对实验设置 | 土壤层/cm | 机械组成 | ||||||
|---|---|---|---|---|---|---|---|---|
| 粗砂 | 中砂 | 细砂 | 极细砂 | 粉砂 | ||||
| HB-CK1 | 0 | ~ | <5 | -- | + | -- | ||
| 5 | ~ | <30 | - | - | ++ | -- | -- | |
| 30 | ~ | 60 | - | -- | ++ | ++ | ++ | |
| HYNZ-CK2 | 0 | ~ | <5 | + | - | ++ | ||
| 5 | ~ | <30 | ++ | -- | + | + | ++ | |
| 30 | ~ | 60 | + | ++ | -- | + | + | |
| YS-CK3 | 0 | ~ | <5 | -- | ++ | |||
| 5 | ~ | <30 | -- | + | ||||
| 30 | ~ | 60 | -- | ++ | + | - | ||
| YL-CK4 | 0 | ~ | <5 | ++ | ++ | |||
| 5 | ~ | <30 | -- | ++ | ++ | ++ | ||
| 30 | ~ | 60 | -- | -- | ++ | ++ | ||
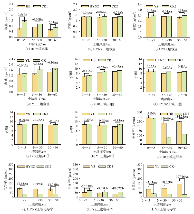
Tab.4
Paired t-test values for the effect of the four vegetation restoration types on bulk density,pH and conductivity
| 配对试验设置 | 土层深度/cm | 容重 | pH | 电导率 | ||
|---|---|---|---|---|---|---|
| HB-CK1 | 0 | ~ | <5 | -- | ||
| 5 | ~ | <30 | - | - | ++ | |
| 30 | ~ | 60 | ++ | |||
| HYNZ-CK2 | 0 | ~ | <5 | + | ||
| 5 | ~ | <30 | - | + | ||
| 30 | ~ | 60 | + | |||
| YS-CK3 | 0 | ~ | <5 | - | -- | |
| 5 | ~ | <30 | - | -- | ||
| 30 | ~ | 60 | - | -- | ||
| YL-CK4 | 0 | ~ | <5 | |||
| 5 | ~ | <30 | - | |||
| 30 | ~ | 60 | + | |||
Tab.5
Paired t-test values for the effect of four vegetation restoration types on soil nutrients
| 配对实验设置 | 土层深度/cm | 碱解氮 | 速效钾 | 速效磷 | 有机质 | ||
|---|---|---|---|---|---|---|---|
| HB-CK1 | 0 | ~ | <5 | - | ++ | -- | ++ |
| 5 | ~ | <30 | ++ | -- | + | ||
| 30 | ~ | 60 | ++ | ++ | -- | ||
| HYNZ-CK2 | 0 | ~ | <5 | ||||
| 5 | ~ | <30 | |||||
| 30 | ~ | 60 | -- | ||||
| YS-CK3 | 0 | ~ | <5 | ++ | ++ | ++ | |
| 5 | ~ | <30 | + | + | ++ | ||
| 30 | ~ | 60 | ++ | + | + | ||
| YL-CK4 | 0 | ~ | <5 | ||||
| 5 | ~ | <30 | |||||
| 30 | ~ | 60 | |||||
| [1] | 王博, 包玉海, 刘静, 等. 库布齐沙漠植被恢复对风沙土壤碳通量与碳储量的影响[J]. 土壤, 2022, 54(3):539-546. |
| [2] |
李新荣, 赵洋, 回嵘, 等. 中国干旱区恢复生态学研究进展及趋势评述[J]. 地理科学进展, 2014, 33(11):1435-1443.
doi: 10.11820/dlkxjz.2014.11.001 |
| [3] | 朱震达. 中国沙漠化防治[M]. 北京: 中国林业出版社,1999. |
| [4] | 齐雁冰, 常庆瑞, 刘梦云, 等. 荒漠化土壤对人工植被恢复工程的响应[J]. 干旱地区农业研究, 2011, 29(3):180-185. |
| [5] | 王睿, 杨国靖. 库布齐沙漠东缘防沙治沙生态效益评价[J]. 水土保持通报, 2018, 38(5):174-179. |
| [6] | 王博, 段玉玺, 王伟峰, 等. 人工固沙区植被演替过程中土壤水分时空分异特征[J]. 干旱区研究, 2020, 37(4):881-889. |
| [7] | 董智今, 展秀丽, 丁小花. 毛乌素沙地西南缘不同土地利用类型土壤颗粒分形特征[J]. 水土保持研究, 2022, 29(3):43-48. |
| [8] | 袁媛, 张鹤, 武杼华, 等. 植被恢复对毛乌素沙地土壤pH和养分含量的影响[J]. 土壤通报, 2021, 52(1):148-156. |
| [9] | 谭明亮, 段争虎, 陈小红. 流沙地恢复过程中土壤特性演变研究[J]. 中国沙漠, 2008(4):685-689. |
| [10] | 齐雁冰, 常庆瑞. 高寒地区人工植被恢复对风沙土区土壤效应影响[J]. 水土保持学报, 2005(6):42-45. |
| [11] | YANG Yue, SUN Hong, HAN Yongjiao, et al. Effects of artificial vegetation restoration on soil physicochemical properties in Southern Edge of Mu Us Sandy Land[J]. Agricultural Science & Technology, 2014, 15(4):648-652. |
| [12] |
张立欣, 段玉玺, 王博, 等. 库布齐沙漠不同人工固沙灌木林土壤微生物量与土壤养分特征[J]. 应用生态学报, 2017, 28(12):3871-3880.
doi: 10.13287/j.1001-9332.201712.003 |
| [13] | 顾梦鹤, 周立华, 王睿, 等. 防护林对库布其沙漠土壤理化性质的影响[J]. 兰州大学学报(自然科学版), 2017, 53(5):646-651. |
| [14] |
刘源, 李晓晶, 段玉玺, 等. 库布齐沙漠东部植被恢复对土壤生态化学计量的影响[J]. 干旱区研究, 2022, 39(3):924-932.
doi: 10.13866/j.azr.2022.03.26 |
| [15] | 李天杰, 赵烨, 张科利, 等. 土壤地理学[M]. 北京: 高等教育出版社,2003:36-38. |
| [16] | 南京土壤研究所. 土壤理化分析[M]. 上海: 上海科学技术出版社,1978. |
| [17] | 鲍士旦主编. 土壤农化分析[M]. 3版. 北京: 中国农业出版社, 2000. |
| [18] | GUAN Huiling, FAN Jiangwen. Effects of vegetation restoration on soil quality in fragile karst ecosystems of southwest China[J]. PeerJ, 2020,8:e9456. |
| [19] | 柴华, 何念鹏. 中国土壤容重特征及其对区域碳贮量估算的意义[J]. 生态学报, 2016, 36(13):3903-3910. |
| [20] | 张岩松, 雷泽勇, 于东伟, 等. 沙质草地营造樟子松林后土壤容重的变化及其影响因子. 生态学报, 2019, 39(19):7144-7152. |
| [21] |
张静静, 刘尊驰, 鄢创, 等. 土壤pH值变化对3种草原类型土壤碳氮磷生态化学计量特征的影响[J]. 草业学报, 2021, 30(2):69-81.
doi: 10.11686/cyxb2020108 |
| [22] | 关其格, 浩必斯嘎拉图, 杨越, 等. 毛乌素沙地南缘人工恢复植被对沙地土壤理化性质的影响[J]. 安徽农业科学, 2013, 41(34):13217-13220. |
| [23] | 戴雅婷, 侯向阳, 闫志坚, 等. 库布齐沙地两种植被恢复类型根际土壤微生物和土壤化学性质比较研究[J]. 生态学报, 2016, 36(20):6353-6364. |
| [24] | 施明, 王锐, 孙权, 等. 腾格里沙漠边缘区植被恢复与土壤养分变化研究[J]. 水土保持通报, 2013, 33(6):107-111. |
| [25] |
左小安, 赵学勇, 赵哈林, 等. 沙地退化植被恢复过程中灌木发育对草本植物和土壤的影响[J]. 生态环境学报, 2009, 18(2):643-647.
doi: 10.16258/j.cnki.1674-5906(2009)02-0643-05 |
| [26] |
王皓月, 郭月峰, 徐雅洁, 等. 九峰山不同林分类型生态恢复植被—土壤系统耦合关系评价[J]. 生态环境学报, 2021, 30(12):2309-2316.
doi: 10.16258/j.cnki.1674-5906.2021.12.005 |
| [27] | 李尝君, 曾凡江, 郭京衡, 等. 植被恢复程度与沙地土壤性质:以塔克拉玛干沙漠南缘为例[J]. 干旱区研究, 2015, 32(6):1061-1067. |
| [28] | LYU Du, LIU Qiuman, XIE Tao, et al. Impacts of different types of vegetation restoration on the physicochemical properties of Sandy Soil[J]. Forests, 2023, 14(9):1740. |
| [29] | 陈闻, 杨晶晶, 袁媛, 等. 毛乌素沙地人工固沙植被的土壤养分效应[J]. 干旱区研究, 2020, 37(6):1447-1456. |
| [30] | QI Luo, LIN Zhen, YU Xiao, et al. The effects of different types of vegetation restoration on wind erosion prevention:A case study in Yanchi[J]. Environmental Research Letters, 2020, 15(11):115001. |
| [31] | 姜丽娜, 马洁, 刘建康, 等. 毛乌素沙地不同植被恢复措施下土壤理化性质空间分布特征[J]. 水土保持通报, 2022, 42(5):1-7. |
| [32] | SU Yong Zhong, ZHAO Wenzhi, SU Peixi, et al. Ecological effects of desertification control and desertified land reclamation in an oasis-desert ecotone in an arid region:A case study in Hexi Corridor,Northwest China[J]. Ecological Engineering, 2007, 29(2):117-124. |
| [33] | 温晨, 杨智姣, 杨磊, 等. 半干旱黄土小流域不同植被类型植物与土壤生态化学计量特征[J]. 生态学报, 2021, 41(5):1824-1834. |
| [1] | GAO Yue, MENG Zhongju, YANG Yi, XIN Jing, MI Hongzhuo, WANG Zhiqiang. The Influence of the Planting Patterns of Forest Shelterbelts along the Yellow River in the Hobq Desert on Under-forest Vegetation Diversity [J]. Forest and Grassland Resources Research, 2024, 0(6): 81-90. |
| [2] | YANG Yuhao, WANG Lingling, ZHANG Yong, ZHANG Quanzhi, SUN Hanjing, WANG Wenpeng, ZHOU Benzhi, WANG Zeng. Soil Physicochemical Properties and Plant Diversity Characteristics of Cupressus funebris with Different Stand Ages in Limestone Mountain Areas [J]. Forest and Grassland Resources Research, 2024, 0(5): 106-115. |
| [3] | LI Li, WU Yuehong, XIAO Zexin, JI Yanling, LIN Wenhuan, ZHU Xiaowu, FAN Zhenzhen. Characterization of Soil Ecological Stoichiometry in Plantation Forests of Different Stand Ages of Sonneratia apetala [J]. Forest and Grassland Resources Research, 2023, 0(6): 113-119. |
| [4] | ZHANG Yang, TIE Niu, CHANG Xiaoli. Effects of Permafrost Activity on Growth and Undergrowth of Larch in The Greater Hinggan Mountains [J]. FOREST RESOURCES WANAGEMENT, 2021, 0(3): 137-144. |
| [5] | XIAO Dongdong, SHANG Hailong, WANG Lianxiao. Research on Soil Ecological Stoichiometry Characteristic of Different Economic Forest Lands in Naban River Watershed [J]. FOREST RESOURCES WANAGEMENT, 2020, 0(4): 74-79. |
| [6] | JIANG Liwei, LU Zeyang, GONG Yinting, YAN Shiwei. Ecological Benefits of Vegetation Restoration in Yijinhuoluo Banner of Inner Mongolia [J]. FOREST RESOURCES WANAGEMENT, 2019, 0(1): 38-43. |
| [7] | LÜ Wenqiang, TANG Jingang, LUO Shiqin, LIN Tao, ZHOU Chuanyan. Effect of 4 Kinds of Vegetation Restoration Patterns on the Topsoil Organic Carbon and Nitrogen in Rocky Desertification Region of Guizhou Province [J]. FOREST RESOURCES WANAGEMENT, 2016, 0(5): 47-52. |
| [8] | WU Qiang, CHU Congying, SONG Wei, ZHANG Peng, GAO Chao, GU Jiancai, LU Guiqiao. Study on the Soil Nutrients of Scotch Pine Plantations in the Upper Dam of Saihanba [J]. FOREST RESOURCES WANAGEMENT, 2016, 0(1): 90-98. |
| [9] | HUANG Qiuxian,CHEN Ying,CHE Xiaoyu,Li Yuling. Effects of Different Vegetation Restoration Types on Soil Structure in Iron Tailings —A case Study of Malanzhuang Iron Tailings [J]. FOREST RESOURCES WANAGEMENT, 2015, 0(5): 110-116. |
| [10] | ZHAO Chuanchuan, CUI Ting. Evaluation of the Forest Soil Nutrient Based on Element-Matter Model in Qinghai [J]. FOREST RESOURCES WANAGEMENT, 2015, 0(4): 84-91. |
| [11] | GUO Xin, LU Lina, HE Xiaohui, LI Weixiang, GE Jing. Study on Litter Decomposition and Soil Improvement in Artificial Shrub Forest in Maowusu Sandy Land [J]. FOREST RESOURCES WANAGEMENT, 2014, 0(5): 74-78. |
| [12] | DAI Na. Abandoned Quarry Vegetation Restoration and Construction of Plant Landscape in Beijing [J]. FOREST RESOURCES WANAGEMENT, 2013, 0(6): 86-91. |
| [13] | YAN Jian, TANG Fukai, CUI Ming, NIU Jinyu, ZHANG Yanhong. Research and Discussion on Carbon Sequestration Afforestation Technology—taking Laoding Mountain vegetation restoration project in Changzhi City as an example [J]. FOREST RESOURCES WANAGEMENT, 2012, 0(5): 27-30. |
| [14] | LU Lihua, JIA Hongyan, FENG Changlin, HE Riming, HUANG Wenlong, XIAN Shaoda, SHI Zuomin. Effects of Hillside Closing on Vegetation Restoration in Limestone Mountains [J]. FOREST RESOURCES WANAGEMENT, 2010, 0(3): 24-30. |
| Viewed | ||||||
|
Full text |
|
|||||
|
Abstract |
|
|||||
