Forest and Grassland Resources Research ›› 2024›› Issue (5): 56-65.doi: 10.13466/j.cnki.lczyyj.2024.05.007
• Scientific Research • Previous Articles Next Articles
XUE Yue(
), ZHAO Fengxia(
), LI Yajie, JI Wenxia, MENG Dan
Received:2024-09-10
Revised:2024-10-11
Online:2024-10-28
Published:2025-04-18
CLC Number:
XUE Yue, ZHAO Fengxia, LI Yajie, JI Wenxia, MENG Dan. Soil Moisture and Carbon-Nitrogen Content on the Productivity of Flat Stubble Caragana korshinskii Forest in the Northwestern Shanxi Sandstorm Region[J]. Forest and Grassland Resources Research, 2024, (5): 56-65.
Add to citation manager EndNote|Ris|BibTeX
URL: https://www.lyzygl.com.cn/EN/10.13466/j.cnki.lczyyj.2024.05.007
Tab.1
General situation of sample plot in study area
| 样地 | 纬度 | 经度 | 坡度/(°) | 海拔/m |
|---|---|---|---|---|
| 1 | 38°58'08″—38°58'51″N | 111°45'25″—111°46'01″E | 0~ 5 | 1 423~1 446 |
| 2 | 38°58'21″—38°58'49″N | 111°46'17″—111°46'50″E | 0~10 | 1 444~1 448 |
| 3 | 38°58'02″—38°58'27″N | 111°47'11″—111°47'24″E | 5~10 | 1 392~1 447 |
| 4 | 38°58'21″—38°59'22″N | 111°45'42″—111°46'47″E | 0~10 | 1 427~1 447 |
Tab.2
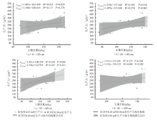
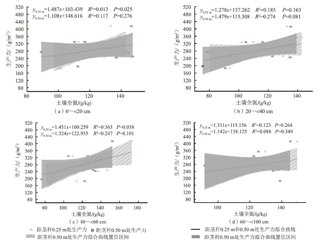
The properties of soil moisture and carbon-nitrogen content in different sampling sites of the study area
| 样方 序号 | 土层深度/ cm | 土壤水分/% | 土壤全碳/(g/kg) | 土壤全氮/(g/kg) | 土壤碳氮比 | |||||||||
|---|---|---|---|---|---|---|---|---|---|---|---|---|---|---|
| 0.25 m | 0.50 m | 0.25 m | 0.50 m | 0.25 m | 0.50 m | 0.25 m | 0.50 m | |||||||
| 1 | 0~< 20 | 10.91±0.68ab | 10.40±1.49ab | 0.13±0.01a | 0.13±0.00a | 1.29±0.03a | 1.25±0.16a | 10.18±0.40ab | 9.68±1.13b | |||||
| 20~< 40 | 11.61±1.21a | 11.44±1.25a | 0.11±0.01ab | 0.10±0.02abc | 1.28±0.26a | 1.28±0.20a | 11.32±1.97ab | 14.09±6.32b | ||||||
| 40~< 60 | 10.80±1.44ab | 9.68±0.32abc | 0.11±0.00ab | 0.10±0.03abc | 1.35±0.18a | 1.38±0.14a | 12.18±1.56ab | 16.62±9.10b | ||||||
| 60~<100 | 6.44±1.00de | 5.94±0.47d | 0.11±0.01ab | 0.12±0.01ab | 1.12±0.01abc | 1.13±0.10ab | 10.28±1.05ab | 9.55±1.00b | ||||||
| 2 | 0~< 20 | 10.65±0.40ab | 9.81±0.63abc | 0.11±0.02ab | 0.11±0.01abc | 1.34±0.10a | 1.33±0.09a | 12.37±2.25ab | 12.69±2.41b | |||||
| 20~< 40 | 9.74±1.51abc | 9.92±0.97abc | 0.07±0.04b | 0.10±0.01abc | 1.34±0.07a | 1.31±0.05a | 22.22±9.21a | 13.85±2.37b | ||||||
| 40~< 60 | 8.13±1.23cde | 8.79±0.93bc | 0.09±0.01ab | 0.06±0.04bc | 1.32±0.06a | 1.31±0.09a | 14.56±1.94ab | 25.58±12.54ab | ||||||
| 60~<100 | 6.03±0.63e | 6.21±0.32d | 0.08±0.03ab | 0.06±0.04c | 1.30±0.04a | 1.33±0.04a | 20.13±10.62ab | 29.65±15.87a | ||||||
| 3 | 0~< 20 | 9.05±0.51bc | 9.09±0.43abc | 0.10±0.01ab | 0.11±0.00abc | 1.34±0.10a | 1.13±0.09ab | 10.81±0.55ab | 10.66±0.75b | |||||
| 20~< 40 | 9.53±0.79abc | 9.42±0.69abc | 0.10±0.01ab | 0.11±0.00abc | 1.13±0.16abc | 1.14±0.13ab | 11.43±1.00ab | 10.70±1.31b | ||||||
| 40~< 60 | 9.40±0.53abc | 9.45±0.79abc | 0.09±0.03ab | 0.10±0.01abc | 1.23±0.23ab | 1.27±0.30a | 15.22±3.32ab | 13.24±3.33b | ||||||
| 60~<100 | 7.65±0.36cde | 7.87±0.60cbd | 0.08±0.03ab | 0.11±0.00abc | 1.35±0.19a | 1.32±0.20a | 18.38±8.71ab | 12.30±1.43b | ||||||
| 4 | 0~< 20 | 9.56±0.72abc | 9.88±0.37abc | 0.17±0.01ab | 0.12±0.01a | 0.95±0.03bc | 0.98±0.06ab | 8.17±0.39b | 8.02±0.35b | |||||
| 20~< 40 | 9.29±1.11abc | 9.69±0.39abc | 0.10±0.00ab | 0.10±0.00abc | 0.81±0.00c | 0.82±0.02b | 8.17±0.13b | 8.33±0.27b | ||||||
| 40~< 60 | 8.42±0.61bcd | 9.02±0.96abc | 0.11±0.01ab | 0.10±0.01abc | 0.82±0.05c | 0.86±0.11b | 7.73±0.76b | 8.50±0.61b | ||||||
| 60~<100 | 7.39±0.80cde | 7.10±1.90 cd | 0.11±0.01ab | 0.11±0.01ab | 1.06±0.14abc | 1.06±0.14ab | 8.95±1.28b | 9.36±1.37b | ||||||
| [1] | CHE Cunwei, XIAO Shengchun, DING Aijun, et al. The characteristics of radial growth and ecological response of Caragana korshinskii Kom.under different precipitation gradient in the Western Loess Plateau,China[J]. Frontiers in Plant Science, 2022,13:862529. |
| [2] | 梁海斌, 史建伟, 牛俊杰, 等. 晋西北黄土丘陵区不同林龄柠条地土壤水分变化特征研究[J]. 干旱区资源与环境, 2014, 28(6):143-148. |
| [3] | 毛培利, 曹帮华, 田文侠, 等. 人工林生产力年龄效应及衰退机理研究进展[J]. 生态学报, 2011, 31(11):3208-3214. |
| [4] | WANG Guohua, CHEN Zhixue, SHEN Yuying, et al. Thinning promoted the rejuvenation and highly efficient use of soil moisture for degraded Caragana korshinskii plantation in semiarid loessal regions[J]. Land Degradation & Development, 2023, 34(4):992-1003. |
| [5] | 张倩, 包庆丰, 孙志宏, 等. 基于多目标的生态脆弱区柠条平茬模式优化研究[J]. 干旱区资源与环境, 2023, 37(10):148-156. |
| [6] | 严正升, 郭忠升, 宁婷, 等. 枝条覆盖对半干旱黄土丘陵区平茬柠条林地土壤水分的影响[J]. 生态学报, 2016, 36(21):6872-6878. |
| [7] | 郭忠升. 黄土丘陵半干旱区土壤水资源利用限度[J]. 应用生态学报, 2010, 21(12):3029-3035. |
| [8] | 张志山, 韩高玲, 霍建强, 等. 固沙灌木柠条锦鸡儿和中间锦鸡儿木质部导水与叶片光合能力对土壤水分的响应[J]. 植物生态学报, 2023, 47(10):1422-1431. |
| [9] | 李会杰. 黄土高原林地深层土壤根系吸水过程及其对水分胁迫和土壤碳输入的影响[D]. 杨凌: 西北农林科技大学, 2019. |
| [10] | LIU Weiguo, YU Zhen, ZHU Qiuan, et al. Assessment of biomass utilization potential of Caragana korshinskii and its effect on carbon sequestration on the Northern Shaanxi Loess Plateau,China[J]. Land Degradation & Development, 2020, 31(1):53-64. |
| [11] | 山仑, 徐炳成, 杜峰, 等. 陕北地区不同类型植物生产力及生态适应性研究[J]. 水土保持通报, 2004(1):1-7. |
| [12] | WANG Yunqiang, SHAO Mingan, SHAO Hongbo. A preliminary investigation of the dynamic characteristics of dried soil layers on the Loess Plateau of China[J]. Journal of Hydrology, 2010, 381(1/2):9-17. |
| [13] | 杨帆, 潘成忠, 鞠洪秀. 晋西黄土丘陵区不同土地利用类型对土壤碳氮储量的影响[J]. 水土保持研究, 2016, 23(4):318-324. |
| [14] | 于双, 许冬梅, 许爱云, 等. 不同恢复措施对宁夏荒漠草原土壤碳氮储量的影响[J]. 草业学报, 2019, 28(3):12-19. |
| [15] | 李志丽, 王红梅, 赵亚楠, 等. 荒漠草原灌丛引入过程中土壤氮矿化的季节动态及其影响因子[J]. 应用生态学报, 2023, 34(8):2161-2170. |
| [16] | XU Zhuwen, JIANG Lin, REN Haiyan, et al. Opposing responses of temporal stability of aboveground and belowground net primary productivity to water and nitrogen enrichment in a temperate grassland[J]. Global Change Biology, 2024, 30(1):e17071. |
| [17] | 卞莹莹, 陈林, 王建明, 等. 平茬对荒漠草原区人工柠条林地土壤理化性质的影响[J]. 草地学报, 2018, 26(6):1347-1353. |
| [18] | 安达, 王海兵, 白云菲, 等. 库布齐沙漠柠条林空间分布格局与景观特征研究[J]. 林草资源研究, 2024(2):43-50. |
| [19] | 白星雯, 布日古德, 洪光宇, 等. 毛乌素沙地典型人工林土壤水分特征及其对降水的响应[J]. 林草资源研究, 2023(6):52-60. |
| [20] | 于瑞鑫, 王磊, 杨新国, 等. 平茬柠条的土壤水分动态及生理特征[J]. 生态学报, 2019, 39(19):7249-7257. |
| [21] | 贾希洋, 周静静, 宿婷婷, 等. 平茬密度对荒漠草原人工柠条林间生境的影响[J]. 生态学报, 2020, 40(12):4126-4136. |
| [22] | 李耀林, 郭忠升. 平茬对半干旱黄土丘陵区柠条林地土壤水分的影响[J]. 生态学报, 2011, 31(10):2727-2736. |
| [23] | 刘剑荣, 杨磊, 卫伟, 等. 半干旱黄土区柠条灌丛不同植被管理方式下的土壤水分[J]. 草业科学, 2021, 38(8):1439-1450. |
| [24] | 郑士光, 贾黎明, 庞琪伟, 等. 平茬对柠条林地根系数量和分布的影响[J]. 北京林业大学学报, 2010, 32(3):64-69. |
| [25] | 康冰, 刘世荣, 蔡道雄, 等. 南亚热带不同植被恢复模式下土壤理化性质[J]. 应用生态学报, 2010, 271(10):2479-2486. |
| [26] | ETTERSHANK G J, ETTERSHANK M B, WHITFORD W G. 氮肥对奇瓦瓦沙漠生态系统初级生产力的影响[J]. J.A.摆脱环境, 1978(1):135-139. |
| [27] | 费舍尔, 宾克利D. 森林土壤生态与管理[M]. 纽约: John Wiley & Sons, 2000. |
| [28] | 高天鹏, 方向文, 李金花, 等. 水分对柠条萌蘖株和未平茬株光合参数及调渗物质的影响[J]. 草业科学, 2009, 26(5):103-109. |
| [29] | 姜有为, 蒋进, 宋春武, 等. 平茬与间伐对古尔班通古特沙漠人工林土壤水分的影响[J]. 干旱区研究, 2014, 31(6):998-1004. |
| [30] | 于瑞鑫, 王磊, 蒋齐, 等. 不同平茬年限人工柠条林光合特性及土壤水分的响应变化[J]. 西北植物学报, 2019, 39(3):506-515. |
| [31] | 窦艳星. 黄土丘陵区不同小流域土壤有机碳库含量、稳定性特征及其影响因素[D]. 北京: 中国科学院大学(中国科学院教育部水土保持与生态环境研究中心), 2020. |
| [32] | 马占英. 平茬对黄土高原人工柠条林土壤碳输入的影响[D]. 杨凌: 西北农林科技大学, 2020. |
| [33] | 李亚杰, 赵峰侠, 唐学娟, 等. 晋西北风沙区植物功能性状对人工柠条林生产力的影响[J]. 西南农业学报, 2023, 36(3):647-654. |
| [34] | 张力斌, 何明珠, 张珂. 柠条锦鸡儿生物量分配规律与异速生长对氮、磷添加的响应[J]. 生态学报, 2023, 43(16):6627-6636. |
| [35] | 温华晨. 不同柠条(Caragana intermedia)平茬方式下荒漠草原土壤C、N特征[D]. 银川: 宁夏大学, 2022. |
| [36] | 郭鑫, 魏天兴, 陈宇轩, 等. 黄土丘陵区典型退耕恢复植被土壤生态化学计量特征[J]. 干旱区地理, 2022, 45(6):1899-1907. |
| [37] | ZHAO Ying, WANG Li. Coordination of available soil moisture content and root distribution modifies water source apportionment of the shrub plant Caragana korshinskii[J]. Science of the Total Environment, 2023,900:165893. |
| [38] | 薛睿, 柴春山, 马驰, 等. 黄土丘陵沟壑区柠条人工林地土壤养分特征研究[J]. 中国水土保持, 2019(7):49-51. |
| [39] | 王子寅, 刘秉儒, 李子豪, 等. 不同发育阶段柠条灌丛堆土壤生态化学计量学特征[J]. 中国草地学报, 2023, 45(5):9-19. |
| [40] | 刘学东, 陈林, 杨新国, 等. 荒漠草原2种柠条(Caragana korshinskii)和油蒿(Artemisia ordosica)灌丛土壤养分“肥岛”效应[J].西北林学院学报, 2016, 31(4):26-32. |
| [41] | ZHANG Guangcan, JIANG Bao, SHAO Hong Bo. Grading woodland soil moisture productivity and soli bioavailability in the Semi-Arid Loess Plateau of China[J]. Clean-Soil,Air, Water:A Journal of Sustainability and Environmental Safety, 2012(2):40. |
| [42] | LI Yage, DONG Xiaoxue, YAO Wenxiu, et al. C,N,P,K stoichiometric characteristics of the“leaf-root-litter-soil”system in dryland plantations[J]. Ecological Indicators, 2022,143:109371. |
| Viewed | ||||||
|
Full text |
|
|||||
|
Abstract |
|
|||||