欢迎访问林草资源研究

Forest and Grassland Resources Research ›› 2024›› Issue (5): 116-127.doi: 10.13466/j.cnki.lczyyj.2024.05.013

• Scientific Research • Previous Articles     Next Articles

Regularity and Physiological Characteristics of Leaf Color Change During the Growth Period of Quercus mongolica

YUAN Yangchen1,2(), PANG Jiushuai2, YU haidong2, ZHANG jiang2, CHEN huimin2, ZHANG bingying2, LIU jialin2, HUO wei2()   

  1. 1. College of Landscape Architecture and Tourism,Hebei Agricultural University,Baoding 071000,Hebei,China
    2. Hongyashan State-Owned Forest Farm,Baoding 074200,Hebei,China
  • Received:2024-05-08 Revised:2024-09-28 Online:2024-10-28 Published:2025-04-18

Abstract:

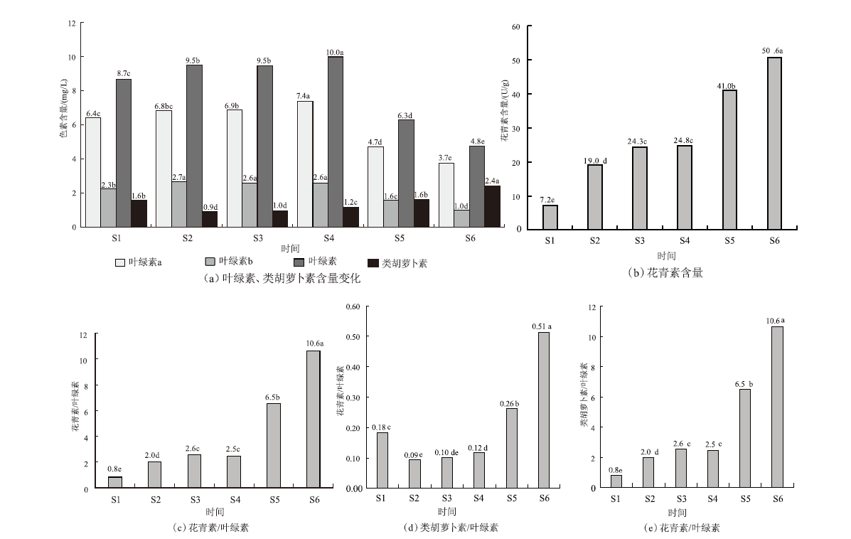
This study investigates the alterations in physiological substances during the leaf coloration of Quercus mongolica,aiming to provide foundational data for breeding new varieties and enriching the genetic resources of colored-leaf tree species.Using young leaf stage(S1),green leaf stage(S2-S4),color changing stage(S5),and red leaf stage(S6)leaves as test materials.Measurement of changes in leaf pigments,leaf color parameters,osmoregulatory substances,nitrogen(N),phosphorus(P),antioxidant enzymes,and MDA at different stages.This study investigates the alterations in physiological substances during the leaf coloration of Q.mongolica,aiming to provide foundational data for breeding new varieties and enriching the genetic resources of colored-leaf tree species.1)During the color changing stage of leaves,the contents of chlorophyll decreased,while the content of carotenoids increased and anthocyanins accumulated in large quantities.Carotenoid to chlorophyll ratio and anthocyanin to chlorophyll ration showed an upward trend,while anthocyanin to carotenoid ratio showed little change.2)The leaf color parameter a* showed a significant upward trend,while L*,b*,and C first decreased and then increased.The color changing stage of hue(H)and saturation(s)values increased sharply,while hue angle(h)decreased significantly.3)The N and P contents of Q.mongolicum leaves decreased overall,while the proline content increased.The soluble protein content decreased during color changing stage,and soluble sugars increased.The change range of Peroxidase(POD) was small,while Superoxide dismutase(SOD) showed a gentle upward trend.Catalase(CAT)activity and malondialdehyde(MDA)levels increased significantly during the color changing stage.4)Anthocyanins were highly significantly positively correlated with a*,and together they were highly significantly positively correlated with proline,anthocyanins to chlorophyll ratio.There was a significant positive correlation with MDA and SOD,a significant negative correlation with N,chlorophyll,and a negative correlation with P.5)Among the three principal components,principal component 1 had the highest eigenvalue and contribution rate,and the eigenvectors of anthocyanins to chlorophyll ratio are the largest.Chlorophyll degradation,anthocyanin accumulation,and a significant increase in the anthocyanin to chlorophyll ratio were identified as the primary physiological factors influencing the red coloration of Q.mongolicum leaves.During the color changing stage,the content of proline and soluble sugars increased,while the content of N and P decreased,and the content of MDA increased,and the activities of SOD and CAT were enhanced,synergistically promoting anthocyanin synthesis and leaf coloration.

Key words: Quercus mongolica, leaf color, anthocyanins, chlorophyll, color changing stage

CLC Number: