林草资源研究 ›› 2024›› Issue (4): 113-125.doi: 10.13466/j.cnki.lczyyj.2024.04.013
王庭秦1,2(
), 陈梓萌2, 程麟淞3, 赵正4,5, 夏建新1(
)
收稿日期:2024-04-08
修回日期:2024-06-28
出版日期:2024-08-28
发布日期:2025-04-18
通讯作者:
夏建新,教授,博士,主要研究方向为可持续发展生态学。Email:作者简介:王庭秦,博士研究生,主要研究方向为可持续发展生态学。Email:
WANG Tingqin1,2(
), CHEN Zimeng2, CHENG Linsong3, ZHAO Zheng4,5, XIA Jianxin1(
)
Received:2024-04-08
Revised:2024-06-28
Online:2024-08-28
Published:2025-04-18
摘要:
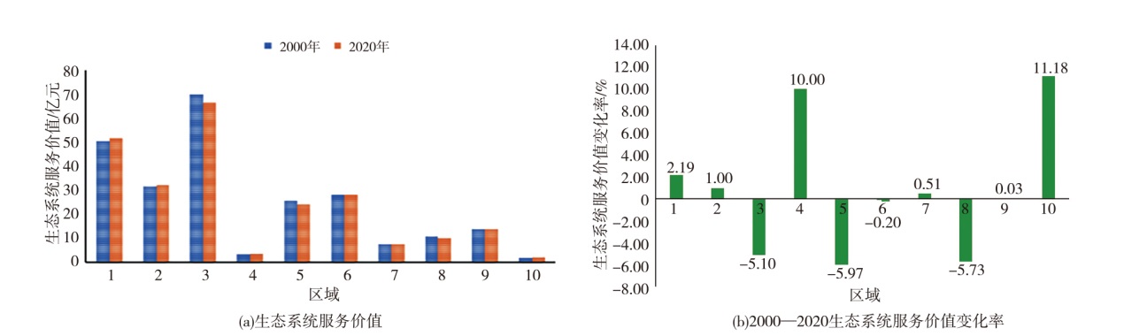
毛乌素沙地治理是三北防护林工程的重要内容之一,运用生态系统单位面积生态服务价值当量表和敏感性系数模型,评价分析毛乌素沙地土地利用与生态服务价值之间的动态变化和特征,揭示生态服务价值受地类变化的响应情况。结果表明:1)2000—2020年毛乌素沙地的土地利用结构发生了明显的改变,集中表现为动态度为负值的草地与水域面积的不断减少和相应的建设用地面积的增加,这是造成总生态服务价值减少的关键因素;2)除水文调节、食物生产外,各项生态服务所产生的价值均呈现不同程度的下降趋势。对毛乌素沙地而言,草地在整体生态系统中的贡献率不容忽视。
中图分类号:
王庭秦, 陈梓萌, 程麟淞, 赵正, 夏建新. 毛乌素沙地生态系统服务价值及变化研究[J]. 林草资源研究, 2024,(4): 113-125.
WANG Tingqin, CHEN Zimeng, CHENG Linsong, ZHAO Zheng, XIA Jianxin. The Ecosystem Service Value and Changes of in the Mu Us Sandy Land[J]. Forest and Grassland Resources Research, 2024,(4): 113-125.
表1
2000—2020年毛乌素沙地的土地利用类型变化情况
| 土地利用 类型 | 面积/万hm2 | 动态度/% | |||||||||||
|---|---|---|---|---|---|---|---|---|---|---|---|---|---|
| 2000年 | 2005年 | 2010年 | 2015年 | 2020年 | 2000— 2020年 | 2000— 2005年 | 2005— 2010年 | 2010— 2015年 | 2015— 2020年 | 2000— 2020年 | |||
| 耕地 | 30.67 | 30.14 | 32.18 | 32.57 | 32.37 | 1.70 | -0.34 | 1.35 | 0.24 | -0.12 | 0.28 | ||
| 林地 | 8.83 | 10.23 | 9.98 | 9.79 | 9.75 | 0.92 | 3.16 | -0.49 | -0.38 | -0.07 | 0.52 | ||
| 草地 | 191.44 | 183.98 | 190.12 | 189.09 | 182.94 | -8.49 | -0.78 | 0.67 | -0.11 | -0.65 | -0.22 | ||
| 水域 | 2.00 | 1.72 | 1.26 | 1.28 | 1.30 | -0.70 | -2.84 | -5.36 | 0.43 | 0.26 | -1.75 | ||
| 湿地 | 5.54 | 5.98 | 4.73 | 4.60 | 6.49 | 0.95 | 1.59 | -4.18 | -0.56 | 8.24 | 0.86 | ||
| 未利用地 | 145.08 | 151.10 | 143.31 | 143.39 | 145.66 | 0.57 | 0.83 | -1.03 | 0.01 | 0.32 | 0.02 | ||
| 建设用地 | 1.49 | 1.91 | 3.49 | 4.33 | 6.53 | 5.04 | 5.56 | 16.52 | 4.85 | 10.15 | 16.86 | ||
表2
2000—2005年毛乌素沙地的土地利用类型转移矩阵
| 2005年 | ||||||||
|---|---|---|---|---|---|---|---|---|
| 耕地 | 林地 | 草地 | 水域 | 湿地 | 未利用地 | 建设用地 | ||
| 2000年 | 耕地 | 29.03 | 0.30 | 1.16 | 0.01 | 0.03 | 0.04 | 0.10 |
| 林地 | 0.05 | 8.27 | 0.38 | 0.00 | 0.01 | 0.13 | 0.00 | |
| 草地 | 0.86 | 1.63 | 180.85 | 0.02 | 0.37 | 7.45 | 0.26 | |
| 水域 | 0.02 | 0.00 | 0.04 | 1.58 | 0.14 | 0.22 | 0.00 | |
| 湿地 | 0.07 | 0.00 | 0.02 | 0.02 | 5.39 | 0.03 | 0.00 | |
| 未利用地 | 0.12 | 0.04 | 1.52 | 0.08 | 0.04 | 143.23 | 0.05 | |
| 建设用地 | 0.00 | 0.00 | 0.00 | 0.00 | 0.00 | 0.00 | 1.49 | |
表3
2005—2010年毛乌素沙地的土地利用类型转移矩阵
| 2010年 | ||||||||
|---|---|---|---|---|---|---|---|---|
| 耕地 | 林地 | 草地 | 水域 | 湿地 | 未利用地 | 建设用地 | ||
| 2005年 | 耕地 | 28.70 | 0.11 | 0.85 | 0.01 | 0.07 | 0.13 | 0.27 |
| 林地 | 0.10 | 9.36 | 0.67 | 0.00 | 0.00 | 0.03 | 0.07 | |
| 草地 | 2.47 | 0.13 | 178.98 | 0.02 | 0.04 | 1.43 | 0.91 | |
| 水域 | 0.01 | 0.00 | 0.03 | 1.12 | 0.52 | 0.02 | 0.03 | |
| 湿地 | 0.04 | 0.01 | 1.67 | 0.03 | 3.92 | 0.25 | 0.05 | |
| 未利用地 | 0.66 | 0.29 | 7.77 | 0.08 | 0.17 | 141.37 | 0.77 | |
| 建设用地 | 0.21 | 0.07 | 0.15 | 0.00 | 0.02 | 0.06 | 1.40 | |
表4
2010—2015年毛乌素沙地的土地利用类型转移矩阵
| 2015年 | ||||||||
|---|---|---|---|---|---|---|---|---|
| 耕地 | 林地 | 草地 | 水域 | 湿地 | 未利用地 | 建设用地 | ||
| 2010年 | 耕地 | 31.85 | 0.01 | 0.14 | 0.00 | 0.05 | 0.07 | 0.05 |
| 林地 | 0.05 | 9.69 | 0.07 | 0.00 | 0.00 | 0.15 | 0.03 | |
| 草地 | 0.35 | 0.06 | 187.42 | 0.01 | 0.03 | 1.69 | 0.56 | |
| 水域 | 0.00 | 0.00 | 0.00 | 1.22 | 0.02 | 0.01 | 0.00 | |
| 湿地 | 0.01 | 0.00 | 0.20 | 0.00 | 4.48 | 0.01 | 0.03 | |
| 未利用地 | 0.27 | 0.02 | 1.26 | 0.04 | 0.02 | 141.44 | 0.25 | |
| 建设用地 | 0.03 | 0.00 | 0.02 | 0.00 | 0.00 | 0.02 | 3.42 | |
表5
2015—2020年毛乌素沙地的土地利用类型转移矩阵
| 2020年 | ||||||||
|---|---|---|---|---|---|---|---|---|
| 耕地 | 林地 | 草地 | 水域 | 湿地 | 未利用地 | 建设用地 | ||
| 2015年 | 耕地 | 28.28 | 0.19 | 2.55 | 0.03 | 0.09 | 0.89 | 0.54 |
| 林地 | 0.21 | 8.47 | 0.41 | 0.00 | 0.02 | 0.44 | 0.23 | |
| 草地 | 1.99 | 0.75 | 174.01 | 0.03 | 1.76 | 8.86 | 1.69 | |
| 水域 | 0.02 | 0.00 | 0.03 | 0.97 | 0.17 | 0.09 | 0.00 | |
| 湿地 | 0.07 | 0.00 | 0.08 | 0.19 | 4.05 | 0.18 | 0.03 | |
| 未利用地 | 1.55 | 0.28 | 5.05 | 0.08 | 0.32 | 134.67 | 1.43 | |
| 建设用地 | 0.24 | 0.07 | 0.81 | 0.00 | 0.09 | 0.52 | 2.61 | |
表6
各地类的生态系统服务价值系数
| 服务类型 | 服务子类型 | 耕地 | 林地 | 草地 | 水域① | 湿地② | 未利用地③ |
|---|---|---|---|---|---|---|---|
| 供给服务 | 食物生产 | 843.05 | 192.64 | 178.02 | 389.10 | 305.18 | 3.81 |
| 原料生产 | 186.92 | 442.51 | 261.94 | 381.47 | 87.74 | 11.44 | |
| 水资源供给 | -995.64 | 228.88 | 144.96 | 1 976.03 | 3 986.39 | 7.63 | |
| 调节服务 | 气体调节 | 679.02 | 1 455.32 | 920.62 | 1 449.60 | 362.40 | 49.59 |
| 气候调节 | 354.77 | 4 354.51 | 2 433.80 | 2 746.60 | 1 079.57 | 38.15 | |
| 净化环境 | 103.00 | 1 276.03 | 803.64 | 2 746.60 | 2 178.21 | 156.40 | |
| 水文调节 | 1 140.60 | 2 849.60 | 1 782.75 | 18 486.17 | 41 721.69 | 91.55 | |
| 支持服务 | 土壤保持 | 396.73 | 1 771.94 | 1 121.53 | 1 762.40 | 354.77 | 57.22 |
| 维持养分循环 | 118.26 | 135.42 | 86.47 | 137.33 | 26.70 | 3.81 | |
| 生物多样性 | 129.70 | 1 613.63 | 1 019.80 | 6 004.38 | 976.57 | 53.41 | |
| 文化服务 | 美学景观 | 57.22 | 707.63 | 450.14 | 3 608.73 | 755.32 | 22.89 |
表7
2000—2020年毛乌素沙地不同地类的ESV变化情况
| 土地利用 类型 | ESV/亿元 | 贡献率/% | |||||||||||
|---|---|---|---|---|---|---|---|---|---|---|---|---|---|
| 2000年 | 2005年 | 2010年 | 2015年 | 2020年 | 2000— 2020年 | 2000年 | 2005年 | 2010年 | 2015年 | 2020年 | 2000— 2020年 | ||
| 耕地 | 9.24 | 9.08 | 9.70 | 9.81 | 9.75 | 0.51 | 3.81 | 3.80 | 4.10 | 4.18 | 4.08 | 0.27 | |
| 林地 | 13.28 | 15.37 | 15.00 | 14.71 | 14.66 | 1.38 | 5.47 | 6.43 | 6.35 | 6.27 | 6.14 | 0.66 | |
| 草地 | 176.19 | 169.33 | 174.98 | 174.03 | 168.37 | -7.82 | 72.64 | 70.82 | 74.05 | 74.18 | 70.50 | -2.14 | |
| 水域 | 7.94 | 6.81 | 4.99 | 5.09 | 5.16 | -2.78 | 3.27 | 2.85 | 2.11 | 2.17 | 2.16 | -1.11 | |
| 湿地 | 28.72 | 31.00 | 24.52 | 23.83 | 33.65 | 4.93 | 11.84 | 12.97 | 10.38 | 10.16 | 14.09 | 2.25 | |
| 未利用地 | 7.19 | 7.49 | 7.11 | 7.11 | 7.22 | 0.03 | 2.97 | 3.13 | 3.01 | 3.03 | 3.02 | 0.06 | |
| 总体 | 242.56 | 239.08 | 236.30 | 234.58 | 238.82 | -3.75 | |||||||
表8
2000—2020年毛乌素沙地ESV的构成情况
| 服务类型 | 服务项目 | ESV/亿元 | 贡献率/% | ||||||||||||||||
|---|---|---|---|---|---|---|---|---|---|---|---|---|---|---|---|---|---|---|---|
| 2000年 | 2005年 | 2010年 | 2015年 | 2020年 | 变化 | 2000年 | 2005年 | 2010年 | 2015年 | 2020年 | |||||||||
| 供给服务 | 食物生产 | 6.47 | 6.32 | 6.54 | 6.55 | 6.48 | 0.01 | 2.67 | 2.64 | 2.77 | 2.79 | 2.71 | |||||||
| 原料生产 | 6.27 | 6.13 | 6.28 | 6.25 | 6.10 | -0.17 | 2.58 | 2.56 | 2.66 | 2.66 | 2.56 | ||||||||
| 水资源供给 | 2.64 | 2.74 | 2.02 | 1.92 | 2.61 | -0.03 | 1.09 | 1.15 | 0.86 | 0.82 | 1.09 | ||||||||
| 调节服务 | 气体调节 | 22.20 | 21.69 | 22.20 | 22.11 | 21.61 | -0.60 | 9.15 | 9.07 | 9.40 | 9.42 | 9.05 | |||||||
| 气候调节 | 53.23 | 51.99 | 53.16 | 52.84 | 51.53 | -1.69 | 21.94 | 21.75 | 22.50 | 22.52 | 21.58 | ||||||||
| 净化环境 | 20.85 | 20.54 | 20.50 | 20.38 | 20.33 | -0.52 | 8.60 | 8.59 | 8.68 | 8.69 | 8.51 | ||||||||
| 水文调节 | 68.29 | 68.66 | 63.78 | 63.08 | 69.91 | 1.62 | 28.15 | 28.72 | 26.99 | 26.89 | 29.27 | ||||||||
| 支持服务 | 土壤保持 | 25.63 | 25.02 | 25.58 | 25.44 | 24.82 | -0.81 | 10.57 | 10.47 | 10.82 | 10.85 | 10.39 | |||||||
| 维持养分循环 | 2.24 | 2.18 | 2.24 | 2.24 | 2.19 | -0.05 | 0.92 | 0.91 | 0.95 | 0.95 | 0.92 | ||||||||
| 生物多样性 | 23.86 | 23.23 | 23.40 | 23.27 | 22.84 | -1.02 | 9.84 | 9.71 | 9.90 | 9.92 | 9.56 | ||||||||
| 文化服务 | 美学景观 | 10.89 | 10.60 | 10.59 | 10.53 | 10.40 | -0.49 | 4.49 | 4.43 | 4.48 | 4.49 | 4.36 | |||||||
表9
2000—2005年毛乌素沙地地类变化导致的ESV转移矩阵
| 2005年 | ||||||||
|---|---|---|---|---|---|---|---|---|
| 耕地 | 林地 | 草地 | 水域 | 湿地 | 未利用地 | 建设用地 | ||
| 2000年 | 耕地 | 0.00 | 0.36 | 0.72 | 0.05 | 0.15 | -0.01 | -0.03 |
| 林地 | -0.06 | 0.00 | -0.22 | 0.00 | 0.03 | -0.19 | 0.00 | |
| 草地 | -0.53 | 0.95 | 0.00 | 0.06 | 1.56 | -6.48 | -0.24 | |
| 水域 | -0.06 | 0.00 | -0.11 | 0.00 | 0.17 | -0.88 | 0.00 | |
| 湿地 | -0.35 | -0.01 | -0.09 | -0.03 | 0.00 | -0.17 | 0.00 | |
| 未利用地 | 0.03 | 0.05 | 1.33 | 0.32 | 0.22 | 0.00 | 0.00 | |
| 建设用地 | 0.00 | 0.00 | 0.00 | 0.00 | 0.00 | 0.00 | 0.00 | |
表10
2005—2010年毛乌素沙地地类变化导致的ESV 转移矩阵
| 2010年 | ||||||||
|---|---|---|---|---|---|---|---|---|
| 耕地 | 林地 | 草地 | 水域 | 湿地 | 未利用地 | 建设用地 | ||
| 2005年 | 耕地 | 0.00 | 0.14 | 0.53 | 0.03 | 0.35 | -0.03 | -0.08 |
| 林地 | -0.12 | 0.00 | -0.39 | 0.00 | 0.00 | -0.05 | -0.10 | |
| 草地 | -1.53 | 0.08 | 0.00 | 0.06 | 0.17 | -1.25 | -0.83 | |
| 水域 | -0.02 | 0.00 | -0.09 | 0.00 | 0.63 | -0.07 | -0.10 | |
| 湿地 | -0.21 | -0.05 | -7.13 | -0.03 | 0.00 | -1.31 | -0.27 | |
| 未利用地 | 0.17 | 0.42 | 6.76 | 0.32 | 0.85 | 0.00 | -0.04 | |
| 建设用地 | 0.06 | 0.11 | 0.14 | 0.00 | 0.08 | 0.00 | 0.00 | |
表11
2010—2015年毛乌素沙地地类变化导致的ESV转移矩阵
| 2015年 | ||||||||
|---|---|---|---|---|---|---|---|---|
| 耕地 | 林地 | 草地 | 水域 | 湿地 | 未利用地 | 建设用地 | ||
| 2010年 | 耕地 | 0.00 | 0.01 | 0.09 | 0.01 | 0.26 | -0.02 | -0.01 |
| 林地 | -0.06 | 0.00 | -0.04 | 0.00 | 0.00 | -0.21 | -0.04 | |
| 草地 | -0.22 | 0.04 | 0.00 | 0.04 | 0.11 | -1.47 | -0.51 | |
| 水域 | -0.01 | 0.00 | -0.01 | 0.00 | 0.02 | -0.05 | 0.00 | |
| 湿地 | -0.03 | 0.00 | -0.83 | 0.00 | 0.00 | -0.07 | -0.16 | |
| 未利用地 | 0.07 | 0.04 | 1.09 | 0.17 | 0.08 | 0.00 | -0.01 | |
| 建设用地 | 0.01 | 0.00 | 0.01 | 0.00 | 0.01 | 0.00 | 0.00 | |
表12
2015—2020年毛乌素沙地地类变化导致的ESV 转移矩阵
| 2020年 | ||||||||
|---|---|---|---|---|---|---|---|---|
| 耕地 | 林地 | 草地 | 水域 | 湿地 | 未利用地 | 建设用地 | ||
| 2015年 | 耕地 | 0.00 | 0.23 | 1.58 | 0.09 | 0.43 | -0.22 | -0.16 |
| 林地 | -0.25 | 0.00 | -0.24 | 0.00 | 0.08 | -0.64 | -0.35 | |
| 草地 | -1.23 | 0.43 | 0.00 | 0.10 | 7.48 | -7.72 | -1.55 | |
| 水域 | -0.07 | 0.00 | -0.08 | 0.00 | 0.20 | -0.35 | -0.01 | |
| 湿地 | -0.36 | -0.01 | -0.34 | -0.23 | 0.00 | -0.91 | -0.16 | |
| 未利用地 | 0.39 | 0.41 | 4.40 | 0.31 | 1.66 | 0.00 | -0.07 | |
| 建设用地 | 0.07 | 0.10 | 0.74 | 0.02 | 0.44 | 0.03 | 0.00 | |
表13
2000—2020年毛乌素沙地ESV对其价值系数的敏感性系数
| 土地利用 类型 | 价值 系数 | ESV/亿元 | CS | |||||||||
|---|---|---|---|---|---|---|---|---|---|---|---|---|
| 2000年 | 2005年 | 2010年 | 2015年 | 2020年 | 2000年 | 2005年 | 2010年 | 2015年 | 2020年 | |||
| 耕地 | +50% | 13.86 | 13.63 | 14.55 | 14.72 | 14.63 | 0.038 | 0.038 | 0.041 | 0.042 | 0.041 | |
| 耕地 | -50% | 4.62 | 4.54 | 4.85 | 4.91 | 4.88 | ||||||
| 林地 | +50% | 19.92 | 23.06 | 22.50 | 22.07 | 21.99 | 0.055 | 0.064 | 0.063 | 0.063 | 0.061 | |
| 林地 | -50% | 6.64 | 7.69 | 7.50 | 7.36 | 7.33 | ||||||
| 草地 | +50% | 264.29 | 253.99 | 262.48 | 261.05 | 252.56 | 0.726 | 0.708 | 0.741 | 0.742 | 0.705 | |
| 草地 | -50% | 88.10 | 84.66 | 87.49 | 87.02 | 84.19 | ||||||
| 水域 | +50% | 11.91 | 10.22 | 7.48 | 7.64 | 7.74 | 0.033 | 0.029 | 0.021 | 0.022 | 0.022 | |
| 水域 | -50% | 3.97 | 3.41 | 2.49 | 2.55 | 2.58 | ||||||
| 湿地 | +50% | 43.08 | 46.50 | 36.78 | 35.75 | 50.48 | 0.118 | 0.130 | 0.104 | 0.102 | 0.141 | |
| 湿地 | -50% | 14.36 | 15.50 | 12.26 | 11.92 | 16.83 | ||||||
| 未利用地 | +50% | 10.79 | 11.24 | 10.66 | 10.67 | 10.83 | 0.030 | 0.031 | 0.030 | 0.030 | 0.030 | |
| 未利用地 | -50% | 3.60 | 3.75 | 3.55 | 3.56 | 3.61 | ||||||
表14
基于土地利用类型转换总量的交叉敏感性系数
| 相互转换的 土地类型 | 改进的交叉敏感性系数CCS | ||||
|---|---|---|---|---|---|
| 2000—2005年 | 2005—2010年 | 2010—2015年 | 2015—2020年 | 2000—2020年 | |
| 耕地—林地 | 0.82 | 1.12 | 2.59 | 0.95 | 1.20 |
| 耕地—草地 | 0.79 | 0.38 | 1.62 | 0.44 | 0.66 |
| 耕地—水域 | 7.87 | 12.37 | 28.06 | 7.02 | 10.90 |
| 耕地—湿地 | 2.50 | 1.84 | 2.23 | 2.05 | 2.53 |
| 耕地—未利用地 | 7.90 | 1.34 | 0.00 | 0.65 | 1.45 |
| 林地—草地 | 0.71 | 1.43 | 5.55 | 1.54 | 1.51 |
| 林地—水域 | 79.75 | 165.30 | 165.94 | 32.87 | 71.55 |
| 林地—湿地 | 10.39 | 6.32 | 36.43 | 4.99 | 8.48 |
| 林地—未利用地 | 6.61 | 2.93 | 3.20 | 1.91 | 3.43 |
| 草地—水域 | 24.56 | 21.43 | 38.04 | 29.04 | 32.41 |
| 草地—湿地 | 0.14 | 0.03 | 0.10 | 0.03 | 0.06 |
| 草地—未利用地 | 0.27 | 0.21 | 0.00 | 0.22 | 0.30 |
| 水域—湿地 | 0.33 | 0.08 | 1.14 | 0.15 | 0.22 |
| 水域—未利用地 | 3.45 | 8.88 | 0.00 | 7.73 | 7.19 |
| 湿地—未利用地 | 14.09 | 2.19 | 18.22 | 2.67 | 4.53 |
| [1] | 新华社. 习近平在内蒙古巴彦淖尔考察并主持召开加强荒漠化综合防治和推进“三北”等重点生态工程建设座谈会[EB/OL].(2023-06-06)[2024-04-08]. https://www.gov.cn/yaowen/liebiao/202306/content_6884930.htm. |
| [2] | 王翠萍, 韩小红, 王昊琛, 等. 1982—2020年毛乌素沙地植被对气候变化的响应[J]. 林业资源管理, 2023(3):80-89. |
| [3] |
王岳, 刘学敏, 哈斯额尔敦. 荒漠化治理“经济-生态-社会”效益耦合协调度时空分异及其驱动因素:以毛乌素沙地为例[J]. 资源科学, 2022, 44(6):1224-1237.
doi: 10.18402/resci.2022.06.10 |
| [4] |
卜凡蕊, 刘颖, 邹学勇. 中国东部典型沙地植被覆盖度对降水变化的响应[J]. 中国沙漠, 2023, 43(3):9-20.
doi: 10.7522/j.issn.1000-694X.2022.00124 |
| [5] | RAMACHANDRA T V. Land use land cover change analysis for sustainable management of ecosystems[J]. International Journal of Remote Sensing, 2011, 32(18),4491-4505. |
| [6] | PHARO E, DAILY G C. Nature's Services:Societal dependence on natural ecosystems[J]. The Bryologist, 1998, 7:49-68. |
| [7] | 房学宁, 赵文武. 生态系统服务研究进展:2013年第11届国际生态学大会(INTECOL Congress)会议述评[J]. 生态学报, 2013, 33(20):6736-6740. |
| [8] | LANGERWISCH F, VÁCLAVÍK T, VON BLOH W, et al. Combined effects of climate and land-use change on the provision of ecosystem services in rice agro-ecosystems[J]. Environmental Research Letters, 2018, 13(1):015003. |
| [9] | TOLESSA T, SENBETA F, KIDANE M. The impact of land use/land cover change on ecosystem services in the central highlands of Ethiopia[J]. Ecosystem Services, 2017, 23:47-54. |
| [10] | DICKS L V, FLORA C B, GODFRAY H C J. Farming and the environment III.horizon scanning for future threats and opportunities in agriculture[J]. Journal of Environmental Management, 2020, 261,110685. |
| [11] | COSTANZA R,ARGE, GROOT R D, et al. The value of the world's ecosystem services and natural capital[J]. Nature, 1997, 387(15):253-260. |
| [12] | 张永民. 生态系统服务研究的几个基本问题[J]. 资源科学, 2012, 34(4):725-733. |
| [13] | 郑德凤, 臧正, 孙才志, 等. 基于生态系统服务理论的中国绿色经济转型预测分析[J]. 生态学报, 2014, 34(23):7137-7147. |
| [14] | GROOT R D. Function-analysis and valuation as a tool to assess land use conflicts in planning for sustainable,multi-functional landscapes[J]. Landscape and Urban Planning, 2006, 75(3-4):175-186. |
| [15] | 蒋小荣, 李丁, 李智勇. 基于土地利用的石羊河流域生态服务价值[J]. 中国人口·资源与环境, 2010, 20(6):68-73. |
| [16] | ASSESMENT M E. Ecosystems and human well-being:synthesis[J]. Physics Teacher, 2005, 34(9):534-534. |
| [17] | 王孟超, 潘洪义, 高成, 等. 基于政策导向的岷江流域土地利用模拟及生态系统服务价值评估[J]. 长江流域资源与环境, 2024, 33(2):322-335. |
| [18] | 解文艳, 付永虎, 杨殿闯, 等. 基于土地利用变化的江苏省生态系统服务价值时空演变与模拟预测[J]. 地域研究与开发, 2022, 41(5):126-132. |
| [19] | FORSTER J, BARKMANN J, FRICKE R, et al. Assessing ecosystem services for informing land-use decisions:a problem-oriented approach[J]. Ecology and Society, 2015, 20(3):31. |
| [20] | HOONCHONG Y, GÜNERALP B, FILIPPI A M, et al. Impacts of land change on ecosystem services in the San Antonio river basin,Texas,from 1984 to 2010[J]. Ecological Economics, 2017, 135:125-135. |
| [21] | POLASKY S, NELSON E, PENNINGTON D, et al. The impact of land-use change on ecosystem services,biodiversity and returns to landowners:A case study in the state of Minnesota[J]. Environmental and Resource Economics, 2011, 48(2):219-242. |
| [22] | COSTANZA R, de GROOT R, SUTTON P, et al. Changes in the global value of ecosystem services[J]. Global Environmental Change, 2014, 26:152-158. |
| [23] | RADFORD K G, JAMES P. Changes in the value of ecosystem services along a rural-urban gradient:A case study of greater Manchester,UK[J]. Landscape and Urban Planning, 2013, 109(1):117-127. |
| [24] | 欧阳志云, 王效科, 苗鸿. 中国陆地生态系统服务功能及其生态经济价值的初步研究[J]. 生态学报, 1999, 19(5):607-613. |
| [25] |
傅伯杰, 张立伟. 土地利用变化与生态系统服务:概念、方法与进展[J]. 地理科学进展, 2014, 33(4):441-446.
doi: 10.11820/dlkxjz.2014.04.001 |
| [26] | 冯异星, 罗格平, 鲁蕾, 等. 土地利用变化对干旱区典型流域生态系统服务价值的影响[J]. 水土保持学报, 2009, 23(6):247-251. |
| [27] | 李屹峰, 罗跃初, 刘纲, 等. 土地利用变化对生态系统服务功能的影响:以密云水库流域为例[J]. 生态学报, 2013, 33(3):726-736. |
| [28] | 谢高地, 鲁春霞, 冷允法, 等. 青藏高原生态资产的价值评估[J]. 自然资源学报, 2003, 18(2):189-196. |
| [29] | 谢高地, 甄霖, 鲁春霞, 等. 一个基于专家知识的生态系统服务价值化方法[J]. 自然资源学报, 2008, 23(5):911-919. |
| [30] | 谢高地, 张彩霞, 张雷明, 等. 基于单位面积价值当量因子的生态系统服务价值化方法改进[J]. 自然资源学报, 2015, 30(8):1243-1254. |
| [31] | BOLUND P, HUNHAMMAR S. Ecosystem services in urban areas[J]. Ecological Economics, 1999, 29(2):293-301. |
| [32] | YIN Jie, YIN Zhane, ZHONG Haidong, et al. Monitoring urban expansion and land use/land cover changes of Shanghai metropolitan area during the transitional economy(1979—2009)in China[J]. Environmental Monitoring—Assessment, 2011, 177(1-4):609-621. |
| [33] | SU Shiliang, XIAO Rui, JIANG Zhenlan, et al. Characterizing landscape pattern and ecosystem service value changes for urbanization impacts at an eco-regional scale[J]. Applied Geography, 2012, 34:295-305. |
| [34] | WU Kaiya, YE Xinyue, QI Zhifang, et al. Impacts of land use/land cover change and socioeconomic development on regional ecosystem services:The case of fast-growing Hangzhou metropolitan area,China[J]. Cities, 2013, 31(2):276-284. |
| [35] | 薛晓玉, 王晓云, 段含明, 等. 北方农牧交错带植被NPP的时空变化及其驱动因子分析[J]. 水土保持研究, 2021, 28(2):190-197. |
| [36] | 赵晓萌, 程宏, 蒋宁, 等. 京津风沙源土壤风蚀时空格局及其演化[J]. 科学通报, 2023, 68(Z1):238-253. |
| [37] | 卢琦, 肖春蕾, 包英爽, 等. 打赢“三北”攻坚战,再造一个“新三北”:实现路径与战略规划[J]. 中国科学院院刊, 2023, 38(7):956-965. |
| [38] | 郭二果, 李现华, 祁瑜, 等. 国家北方重要生态安全屏障保护与建设[J]. 中国环境管理, 2021, 13(2):80-85. |
| [39] | 全国自然资源与国土空间规划标准化技术委员会. 土地利用现状分类:GB/T 21010—2017[S]. 北京: 中华人民共和国国家质量监督检验检疫总局,中国国家标准化管理委员会, 2017. |
| [40] | 余嘉琦, 李钢, 赵华, 等. 江苏省沛县土地利用变化及其生态服务价值研究[J]. 江苏农业科学, 2015, 43(6):371-376. |
| [41] | 朱会义, 李秀彬. 关于区域土地利用变化指数模型方法的讨论[J]. 地理学报, 2003, 58(5):643-650. |
| [42] | 高奇, 师学义, 黄勤, 等. 区域土地利用变化的生态系统服务价值响应[J]. 中国人口·资源与环境, 2013, 23(S2):308-312. |
| [43] | 张天海, 田野, 徐舒, 等. 滨海城市土地利用格局演变及对生态系统服务价值的影响[J]. 生态学报, 2018, 38(21):7572-7581. |
| [44] | 祖皮艳木·买买提, 玉米提·哈力克, 肉孜·阿基, 等. 基于生态系统服务价值变化的焉耆盆地环境与经济协调发展[J]. 应用生态学报, 2015, 26(3):875-883. |
| [45] | 温璐, 宋洁, 张慧超, 等. 近30年乌兰布和沙漠生态系统服务价值评估[J]. 干旱区资源与环境, 2020, 34(12):57-64. |
| [46] | 张丽琴, 渠丽萍, 吕春艳, 等. 基于空间格局视角的武汉市土地生态系统服务价值研究[J]. 长江流域资源与环境, 2018, 27(9):1988-1997. |
| [1] | 刘炳仓, 杨海江. 祁连山国家级自然保护区森林生态系统服务价值评估[J]. 林草资源研究, 2024, 0(3): 18-24. |
| [2] | 白星雯, 布日古德, 洪光宇, 李炜, 邵飞舟, 张雷. 毛乌素沙地典型人工林土壤水分特征及其对降水的响应[J]. 林草资源研究, 2023, 0(6): 52-60. |
| [3] | 高珊珊, 谌玉洁, 海新权. 基于Meta分析的庆阳子午岭森林生态系统服务价值评估[J]. 林草资源研究, 2023, 0(5): 80-88. |
| [4] | 王翠萍, 韩小红, 王昊琛, 由珈齐. 1982—2020年毛乌素沙地植被对气候变化的响应[J]. 林业资源管理, 2023, 0(3): 80-89. |
| [5] | 陈明叶, 高宝嘉, 刘素红. 土地利用景观格局变化的服务功能响应研究——以大清河水系阜平流域为例[J]. 林业资源管理, 2018, 0(2): 103-110. |
| [6] | 张雷, 洪光宇, 李卓凡, 高孝威, 黄萨仁, 王卓, 刘尚华, 王晓江. 基于层次分析法的毛乌素沙地3种造林模式恢复成效评价[J]. 林业资源管理, 2017, 0(6): 108-112. |
| [7] | 侯盟, 黄桂林, 崔雪晴, 唐小平, 卓凌, 徐生旺, 卢琳琳. 青海省生态区划研究[J]. 林业资源管理, 2016, 0(1): 24-31. |
| [8] | 周梅, 曾楠, 赵鹏武, 魏江生, 李攀, 翟明瑶. 大兴安岭南段白桦次生林生态系统服务价值评估[J]. 林业资源管理, 2014, 0(1): 120-126. |
| [9] | 罗玲, 廖超英. 榆林沙区不同立地条件下樟子松林木个体生长的模型拟合[J]. 林业资源管理, 2008, 0(1): 49-52. |
| [10] | 景跃波, 陈隽. 菜阳河自然保护区森林生态系统服务功能价值评估[J]. 林业资源管理, 2007, 0(5): 87-91. |
| 阅读次数 | ||||||
|
全文 |
|
|||||
|
摘要 |
|
|||||