欢迎访问林草资源研究

林草资源研究 ›› 2024›› Issue (3): 106-112.doi: 10.13466/j.cnki.lczyyj.2024.03.013

• 技术应用 • 上一篇    下一篇

基于KNN算法的森林地上生物量遥感估测

熊珂1(), 邢元军2(), 和晓风3, 唐林3, 鲁宏旺3   

  1. 1.湖南省林业资源调查监测评价中心,长沙 410000
    2.国家林业和草原局中南调查规划设计院,长沙 410019
    3.长沙市长长林业技术咨询有限责任公司,长沙 410004
  • 收稿日期:2024-03-05 修回日期:2024-06-05 出版日期:2024-06-28 发布日期:2024-12-24
  • 通讯作者: 邢元军,高级工程师,主要从事林草资源调查监测、林草信息技术开发及应用研究工作。Email:zny_xyj@foxmail.com
  • 作者简介:熊珂,高级工程师,硕士,主要从事林业工程咨询、林业信息化建设方面的工作。Email:8955732@qq.com

Remote Sensing Estimation of Forest AGB Based on KNN Algorithm

XIONG Ke1(), XING Yuanjun2(), HE Xiaofeng3, TANG Lin3, LU Hongwang3   

  1. 1. Hunan Forest Resources Survey,Monitoring and Evaluation Center,Changsha 410000,China
    2. Central South Survey and Planning Institute,National Forestry and Grassland Administration,Changsha 410019,China
    3. Changsha Changchang Forestry Technology Consulting Co.,Ltd,Changsha 410004,China
  • Received:2024-03-05 Revised:2024-06-05 Online:2024-06-28 Published:2024-12-24

摘要:

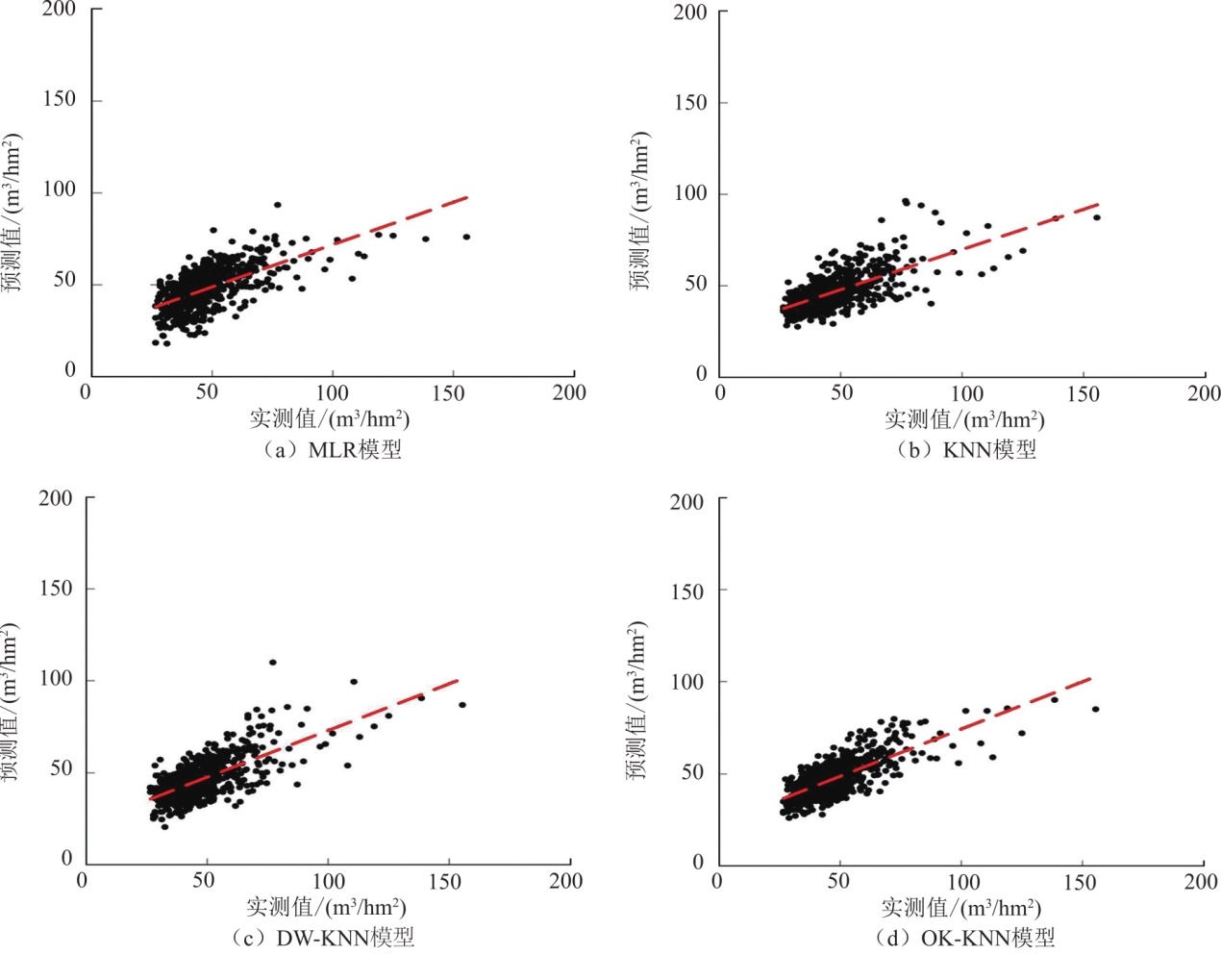
为探索K近邻算法(KNN)的优化方式并使用Sentinel-2实现大尺度的森林地上生物量(AGB)估测,以湖南省湘潭市及长沙市的宁乡市和望城区为研究区,以栎类和杉木为研究对象,使用Sentinel-2为遥感数据源并结合地面调查数据,提出一种基于最优K值的KNN优化算法(OK-KNN),实现森林AGB的遥感估测与空间制图。将OK-KNN模型与传统的KNN模型,距离加权KNN(DW-KNN)模型以及多元线性回归(MLR)模型进行对比,用决定系数(R2)、均方根误差(RMSE)和相对均方根误差(rRMSE)验证模型精度。结果表明:3种KNN模型比MLR模型具有更好的森林AGB预测性能,且在3种KNN模型中,OK-KNN模型估测结果最优,相比于传统KNN和DW-KNN模型,杉木样本的R2分别提高了17.02%和13.04%,RMSE分别降低了17.21%和7.03%;栎类样本的R2分别提高了20.93%和13.04%,RMSE分别降低了15.17%和9.24%。利用OK-KNN模型可以实现不同样本的最优K值自适应选择,从而有效提高森林AGB的估测精度。

关键词: 森林AGB, KNN模型, 最优K值, Sentinel-2, 遥感制图

Abstract:

To explore the optimization of the KNN algorithm and use Sentinel-2 for large-scale estimation of forest AGB.In this study,Xiangtan City,Ningxiang City and Wangcheng District in Changsha City in Hunan Province were selected as the study area,and Quercus×Leana and Cunninghamia lanceolata were used as the target tree species.A KNN optimization algorithm based on the optimal K-value(Optimal-K KNN,OK-KNN)was proposed to achieve remote sensing estimation and spatial mapping of forest AGB,using Sentinel-2 as the source of remote sensing data in combation with ground survey data.To examine the performance of the OK-KNN model,the OK-KNN model was compared with the traditional KNN model,the distance-weighted KNN(DW-KNN)model and the multiple linear regression(MLR)model,and the three metrics-coefficient of determination(R2),root mean square error(RMSE)and relative RMSE(rRMSE)were calculated for evaluating the model's estimation results.The results showed that the three KNN models had better forest AGB prediction performance than the MLR model,and among the three KNN models,the OK-KNN model obtained the optimal estimation results,with the R2 of Cunninghamia lanceolata samples improved by 17.02% and 13.04%,and the RMSE reduced by 17.21% and 7.03%,respectively,when compared to the ordinary KNN and DW-KNN models;R2 for Quercus×Leana samples improved by 20.93% and 13.04%,and RMSE decreased by 15.17% and 9.24%,respectively.This study demonstrates that the optimal K-value adaptive selection of different samples can be realized using the OK-KNN model,which effectively improves the estimation accuracy of forest AGB.

Key words: forest AGB, KNN model, the optimal K value, Sentinel-2, remote sensing mapping

中图分类号: