欢迎访问林草资源研究

林业资源管理 ›› 2022›› Issue (4): 109-118.doi: 10.13466/j.cnki.lyzygl.2022.04.014

• 技术应用 • 上一篇    下一篇

基于GF-1影像的多时相多特征落叶松人工林提取研究

王晓洋1(), 姜友谊1(), 黎晓1, 胡亚轩2, 张家政1, 刘博伟1   

  1. 1.西安科技大学 测绘科学与技术学院,西安 710054
    2.中国地震局第二监测中心,西安 710054
  • 收稿日期:2022-05-25 修回日期:2022-06-22 出版日期:2022-08-28 发布日期:2022-10-13
  • 通讯作者: 姜友谊
  • 作者简介:王晓洋(1998-),女,陕西渭南人,在读硕士,主要从事林业遥感分类方面的研究。Email: 2053336088@qq.com
  • 基金资助:
    国家自然科学基金(41972315)

A Multi-Temporal and Multi-Feature Larch Plantation Extraction Study Based on GF-1 Images

WANG Xiaoyang1(), JIANG Youyi1(), LI Xiao1, HU Yaxuan2, ZHANG Jiazheng1, LIU Bowei1   

  1. 1. College of Geomatics,Xi'an University of Science and Technology,Xi'an 710054,China
    2. The Second Monitoring and Application Center of China Earthquake Administration,Xi'an 710054,China
  • Received:2022-05-25 Revised:2022-06-22 Online:2022-08-28 Published:2022-10-13
  • Contact: JIANG Youyi

摘要:

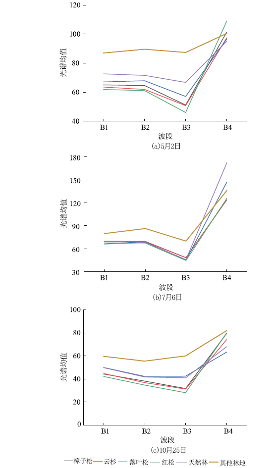
落叶松人工林是我国北方林区的重要树种,造林面积逐年增大。落叶松人工林信息的精确提取对我国合理利用森林资源有着重要的意义。以黑龙江省桦南县境内的孟家岗林场为研究区,结合落叶松的物候特征,选取典型时期的GF-1 PMS影像,以森林资源二类调查小班数据和实地调查数据为样地数据,提取影像的光谱特征、纹理特征、植被指数和地形特征,从多时相和多特征角度出发采用随机森林算法(RF)提取落叶松人工林的空间分布,以得到落叶松人工林最佳分类特征组合。实验结果表明,利用灰度共生矩阵(GLCM)对不同窗口下的纹理特征进行分类,最佳窗口大小为9×9。基于Gini系数对所有特征重要性进行评估,将总体精度最高的作为优选子集,当使用所有特征的84%(光谱、纹理、指数和地形特征的数量分别为11,5,9和2)分类时,总体精度达到最高82.67%(Kappa系数为0.76),且所有特征中植被指数特征贡献率最高。相比于使用光谱特征、光谱特征+植被指数,光谱特征+纹理特征以及光谱特征+地形因子分类,构建多特征优选的RF分类模型可有效降低维度,提高落叶松人工林分类精度。

关键词: 落叶松人工林, 纹理特征, 随机森林, 特征优选

Abstract:

Larch plantation has become an important tree species in north China,and the afforestation area is increasing year by year.Therefore,the extraction of larch plantation is of great significance for rational utilization of forest resources in China.Based on Mengjiagang Forest Farm within the territory of Huanan County in Heilongjiang Province as the research district,combined with phenological characteristics of larch,the study selected a typical period of GF-1 PMS images as the data source,used forest resources subcompartment data and field survey data as the sample data,extracted image spectral characteristics,texture characteristics,vegetation index and topographic features,and used Random Forest (RF)algorithm to extract the spatial distribution of larch plantation from multi-date and multi-feature angles,so as to obtain the best classification time phase and feature combination of larch plantation.The experimental results showed that the optimal window size was 9×9 by using gray co-occurrence matrix (GLCM)to classify texture features under different windows.The importance of all features was evaluated based on the Gini coefficient,and the highest overall accuracy was selected as the preferred subset.When 84% of all features (spectral,texture,exponential and topographic features were 11,5,9 and 2 respectively)were used for classification,the overall accuracy reached the highest 82.67% (Kappa coefficient was 0.76).The contribution rate of the vegetation index was the highest among all the characteristics.Compared with spectral features,spectral features+ vegetation index,spectral features + texture features and spectral features + terrain factors classification,constructing multi-feature optimization RF classification model can effectively reduce the dimension and improve the classification accuracy of larch plantationforest.

Key words: larch plantation forest, texture features, random forest, feature preference

中图分类号: